Предмет: Математика,
автор: s83000
Найдите радиус окружности, площадь которой равна 45см в квадрате, с точностью до 0,01 см (слишним) (примите П~3)
Приложения:
Ответы
Автор ответа:
0
Ответ: радиус равен √(45/π)=√(45/3,1416)=3,7847 см. Ответ: с)
Пошаговое объяснение:
Автор ответа:
0
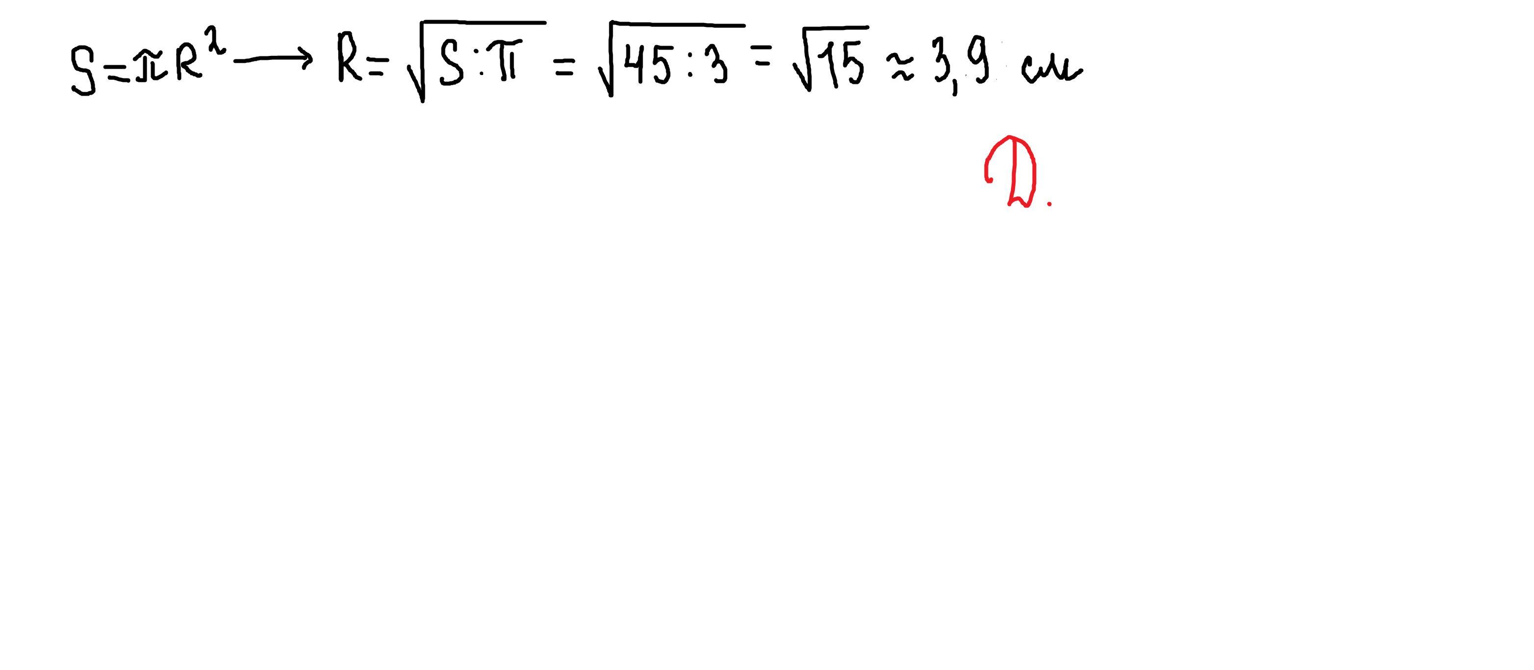
Ответ:
D) R≈ 3,9 см
Пошаговое объяснение:
Приложения:
Похожие вопросы
Предмет: Геометрия,
автор: masha2302
Предмет: Русский язык,
автор: Гида
Предмет: Математика,
автор: minimax059
Предмет: Химия,
автор: SPESHLFOLEYLO