Предмет: Алгебра,
автор: катя15197
1.докажите тождество tg(3П/4-x) +tgx = tg(3П/4- x)tgx-1.
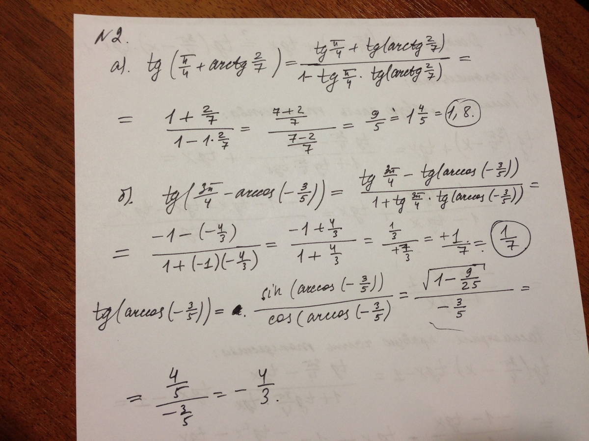
2. Вычислите: а) tg(П/4+ arctg2/7); б) tg( 3П/4 - arccos(-3/5)).
3. Упростите выражение: sin(П/2+t) - cos (П-t) + tg( П-t) + ctg (5П/2 - t).
4. Упростите выражение: а) cos( 18+альфа) cos(-альфа)/sin(-альфа) sin( 90+альфа);
б) sin(П-t)cos(2П-t)/tg(П-t)cos(П-t).
5. 13sin469 - 8cos 341/cos19.
Ответы
Автор ответа:
0
Решение во вложениях. В 4 задании не понятно написано условие.
Приложения:
Похожие вопросы
Предмет: Русский язык,
автор: sholomoffmaxim
Предмет: Обществознание,
автор: nurai2006anar11
Предмет: Математика,
автор: lilo0101
Предмет: Геометрия,
автор: Himmelin
Предмет: Математика,
автор: Ученик5класса