Предмет: Алгебра, автор: andrejryzkin85

помогите пожалуйста

Приложения:

Ответы

Автор ответа: trofksushatrof
1

Ответ:

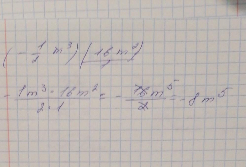
- 1m^3 × 16 m^2/2 = - 16m^5/2 = - 8m^5

Приложения:

andrejryzkin85: спс
Похожие вопросы
Предмет: Алгебра, автор: Аноним
Предмет: Физика, автор: semikalenovaK
Предмет: Геометрия, автор: veranosik