Предмет: Алгебра,
автор: dosanovabanu575
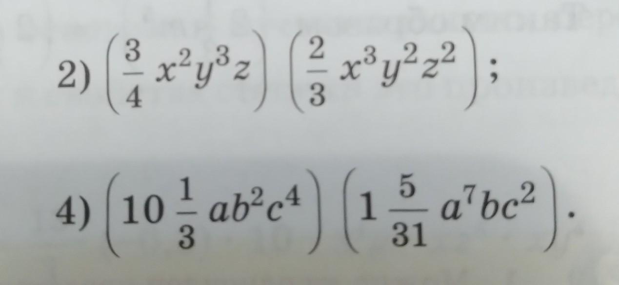
Решите, пожалуйста <33
Приложения:
Ответы
Автор ответа:
1
Ответ приведен в приложении.
Приложения:
Похожие вопросы
Предмет: Математика,
автор: sonyasmail699
Предмет: Математика,
автор: ольга2282
Предмет: История,
автор: annaisaykova
Предмет: Геометрия,
автор: stypishinamyand