Предмет: Алгебра,
автор: bejbkata38
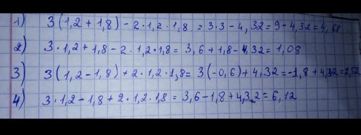
1)3(а+б)-2аб 2)3а+б-2аб 3)3(а-б)+2аб 4)3а-б+2аб при а=1,2, б=1,8
Ответы
Автор ответа:
1
Ответ:
Вот
Объяснение:
По моему правельно!
.
Приложения:
Похожие вопросы
Предмет: Английский язык,
автор: lybimka02
Предмет: Українська мова,
автор: otroda87
Предмет: Биология,
автор: kuzka2003
Предмет: Русский язык,
автор: fkorlev02p8x6bs
Предмет: Химия,
автор: JWatson