Предмет: Алгебра,
автор: david228d
Помогите пожалуйста!!!!!
Приложения:
Ответы
Автор ответа:
1
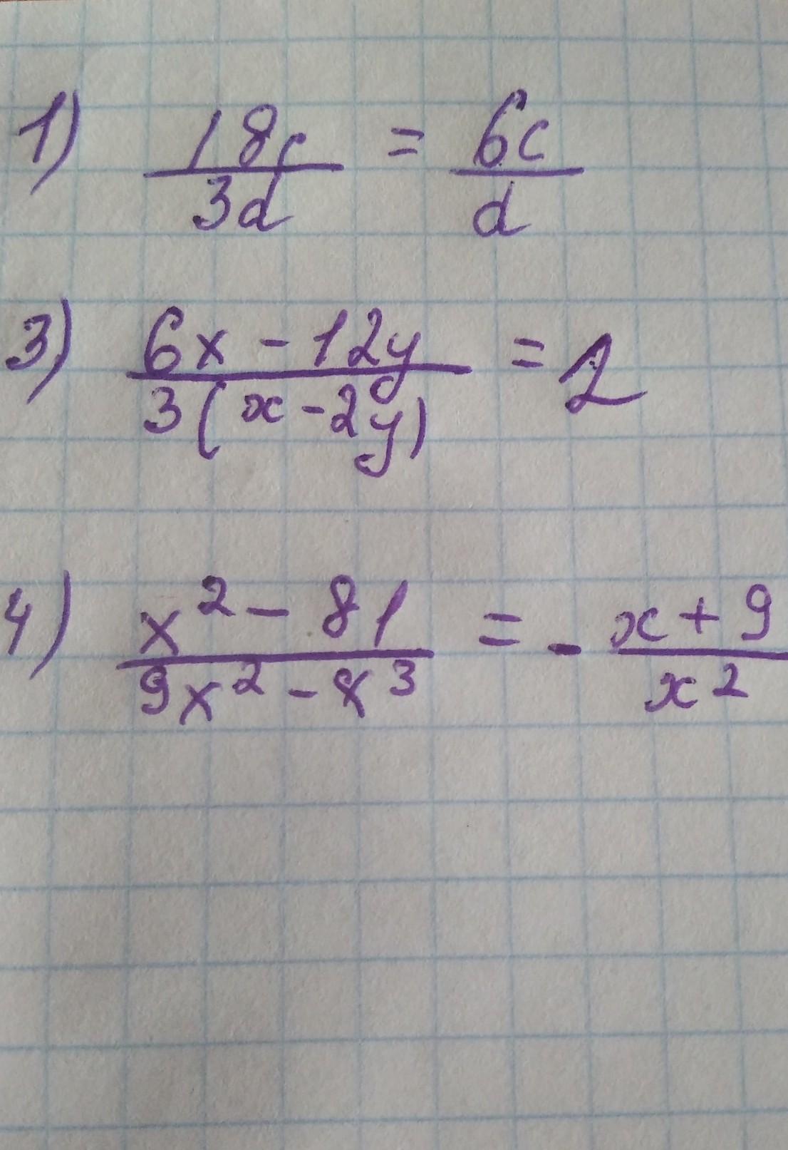
відповідь готова до завдань 1.,3.,4..
Приложения:
Автор ответа:
1
Ответ:
2) там нет ошибки случаем?
5) 6x^2-3xy/8xy-4y^2=3x(2x-y)/4y(2x-y)=3x/4y=(3*1/2)/(4*1/4)=3/2=1,5
david228d:
Вроде бы нет,это учитель задавал
Но всё же спасибо
Похожие вопросы
Предмет: Английский язык,
автор: Аноним
Предмет: Русский язык,
автор: semfed2015
Предмет: Математика,
автор: lizadom
Предмет: Английский язык,
автор: A11A12A13A14