Предмет: Математика,
автор: eahverdova2007
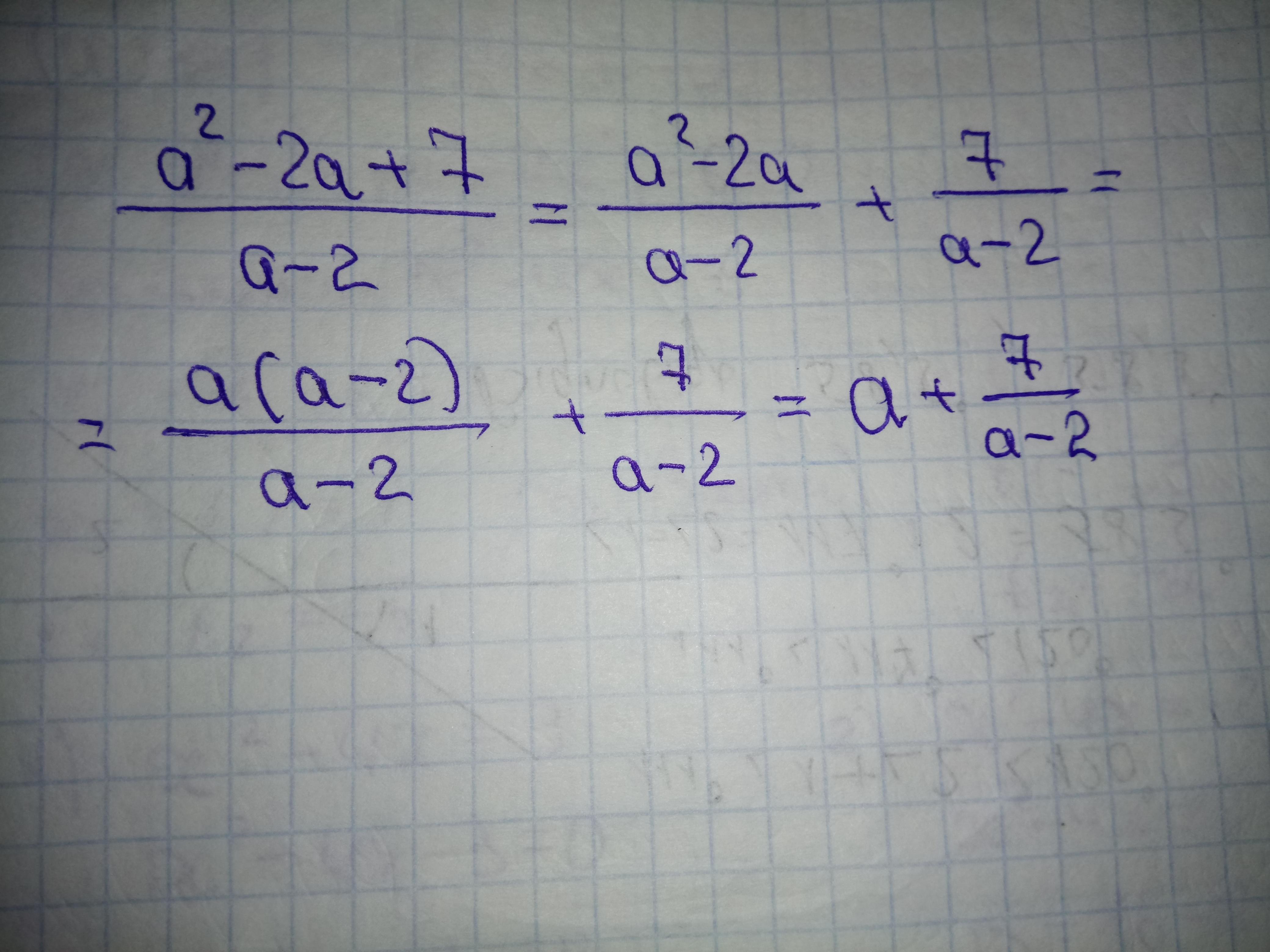
запишите дробь в виде суммы целого выражения и дроби. срочно..
Приложения:
Ответы
Автор ответа:
1
Решение задания прилагаю
Приложения:
Похожие вопросы
Предмет: Биология,
автор: lilia16102002
Предмет: Другие предметы,
автор: Тіна9
Предмет: Математика,
автор: Тема1234секси
Предмет: Математика,
автор: ewansazonov
Предмет: Математика,
автор: kristinarisadic1