Предмет: Математика,
автор: Аноним
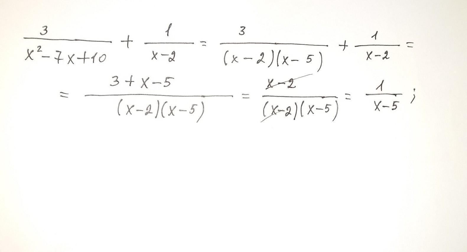
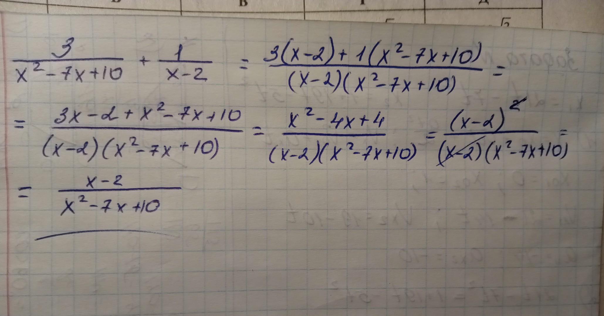
Сложите рациональные дроби. СРОЧНО!!!
Приложения:
Ответы
Автор ответа:
1
Ответ:
всё в фото.....
Пошаговое объяснение:
..........
Приложения:
anastasiaanohina65:
всегда рада помочь❤
Автор ответа:
1
Пошаговое объяснение:
глылылфлфлфлылфлфлылышыыы
Приложения:
Похожие вопросы
Предмет: Математика,
автор: damir200510
Предмет: Русский язык,
автор: lizapushkareva2
Предмет: Русский язык,
автор: карамелька62
Предмет: Математика,
автор: Топчееек
Предмет: Литература,
автор: katyashach