Предмет: Алгебра,
автор: VovaNovodranov
Решите пожалуйста. Спасибо)))
Приложения:
Ответы
Автор ответа:
0
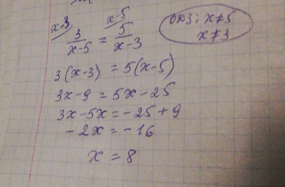
Ответ:
Смотри решение на фото ниже
Приложения:
Похожие вопросы
Предмет: Русский язык,
автор: Lezin555
Предмет: Математика,
автор: Maria38081
Предмет: Английский язык,
автор: vitek1997
Предмет: Русский язык,
автор: arsensykuasan
Предмет: Математика,
автор: alisacotuk