Предмет: Математика, автор: worldmen

Знайти границю використовуючи правило Лопіталя.

Приложения:

Ответы

Автор ответа: amanda2sempl
1

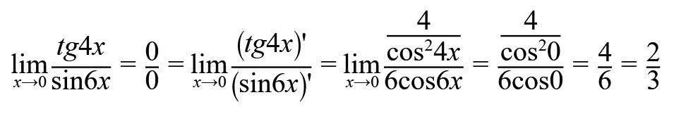
\lim_{x \to \ o} \frac{tg4x}{sin6x} =  \lim_{x \to \ o} \frac{(tg4x)'}{(sin6x)'}   – согласно правилу Лопиталя.

Находим производные: (tg4x)' = 4* \frac{1}{cos^{2}4x } = \frac{4}{cos^{2}4x} ;

(sin6x)' = 6*cos6x ⇒ исходный предел равен:

\lim_{x \to \ o} \frac{\frac{4}{cos^{2}4x } }{6cos6x} =  \lim_{x \to \ o} \frac{4}{6cos6x*cos^{2} 4x} = \frac{4}{6cos0*cos^{2}0 } = \frac{4}{6} = \frac{2}{3}

Ответ: данный предел равен \frac{2}{3}

Автор ответа: palilov243659
1

Ответ:

2/3

Пошаговое объяснение:

//////////////////////////

Приложения:
Похожие вопросы
Предмет: Русский язык, автор: 111487