Предмет: Математика,
автор: worldmen
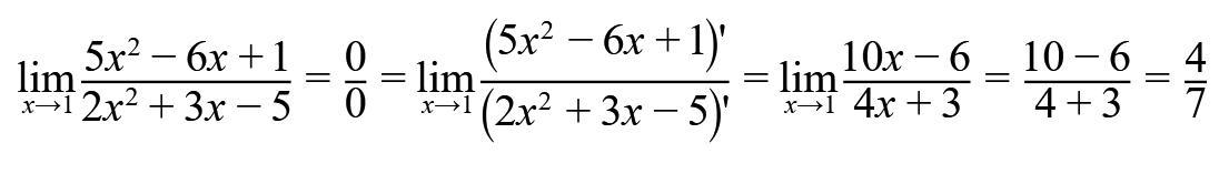
Знайти границю використовуючи правило Лопіталя.
Приложения:
Ответы
Автор ответа:
1
Ответ:
4/7
Пошаговое объяснение:
///////////////////////////
Приложения:
Похожие вопросы
Предмет: Русский язык,
автор: veronika180
Предмет: Английский язык,
автор: тамара28
Предмет: Математика,
автор: nasi
Предмет: Математика,
автор: Polikkkka
Предмет: Математика,
автор: yulduz10