Предмет: Алгебра,
автор: Валентина28
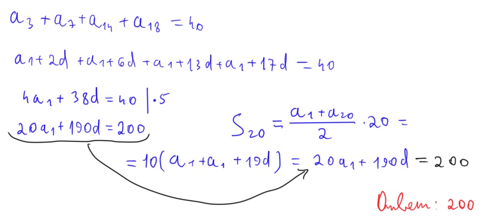
сумма третьего,седьмого,четырнадцатого и восемнадцатого членов арифметической прогрессии равна 48.Найдите сумму первых 20-ти членов данной прогрессии
Ответы
Автор ответа:
0
Решение во вложении.
Приложения:
Похожие вопросы
Предмет: Математика,
автор: pichdyr
Предмет: Математика,
автор: Аноним
Предмет: География,
автор: anasteyha110986
Предмет: Алгебра,
автор: Kris454