Предмет: Алгебра,
автор: katrina5899
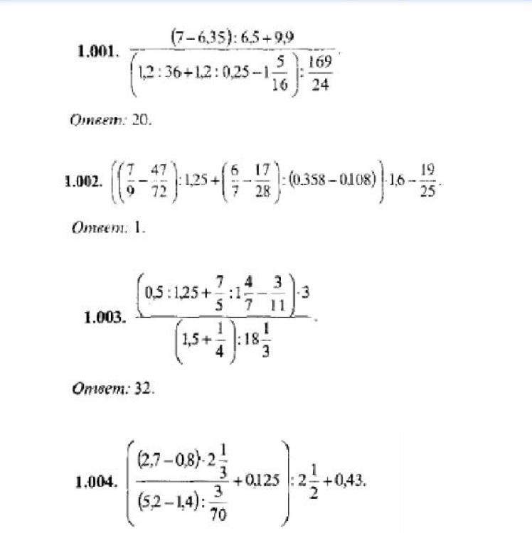
Ребят помогите пожалуйстанам устоев скинула дз по алгебре и внизу (на фото) есть ответы под примерами. Я не знаю так просто списать или что-то нудно самой сделать♀️
Приложения:
Ответы
Автор ответа:
1
Ответ:
просто перепеши я проверил
Обьяснение:
Похожие вопросы
Предмет: Математика,
автор: tayana2011
Предмет: Математика,
автор: Сейлормун1111
Предмет: Українська мова,
автор: романич2
Предмет: Окружающий мир,
автор: Lyaffy
Предмет: Английский язык,
автор: gzzhdjshdhhd