Предмет: Математика, автор: nuprivat761

математика 6 класс,помогите пожалуйста ​

Приложения:

Аноним: КАКОЕ ЗАДАНИЯ

Ответы

Автор ответа: ObitoUchihaN1
0

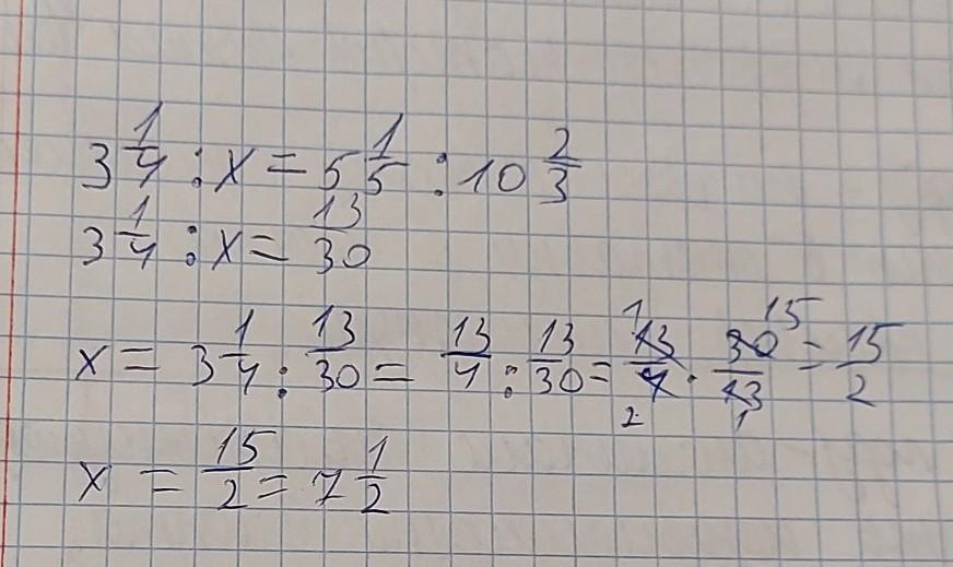
Вот писал очень быстро надеюсь понятно

Приложения:
Похожие вопросы
Предмет: Французский язык, автор: ГАМОРА2000
ПОМОГИТЕ ПЛИЗ С ПЕРЕВОДОМ ТОЛЬКО НОРМ ЧТОБЫ БЫЛ

Les vacances c’est la santé… et la productivité !
Dans sa chronique « Ma Vie en boîte » Annie Kahn constate que le fait de ne pas prendre ses congés pour se faire bien voir est un très mauvais calcul. A tout point de vue.

« Le travail, c’est la santé, rien faire, c’est la conserver », chantait Henri Salvador dans les années 1960. On était alors en pleines « trente glorieuses », ces décennies de reconstruction qui suivirent la seconde guerre mondiale, durant lesquelles l’économie tournait à plein régime et lorsque trouver un emploi n’était pas un problème.
Mais aujourd’hui, en cette veille de départ en vacances pour certains, la chanson n’est plus du tout la même. Mieux vaut avoir un boulot plutôt que de pointer au chômage. Du coup, nombreux sont ceux qui renoncent à profiter d’une fraction de leurs congés payés, car ils redoutent que cela ne nuise à leur vie professionnelle, voire ne les mette en première ligne si un plan de réduction d’effectifs se profilait à l’horizon.
Leurs craintes sont bien souvent ¬fondées : qui n’a jamais entendu un manageur ou un dirigeant s’insurger contre ces « tire-au-flanc » qui ne ¬renoncent pour rien au monde aux jours de repos prévus par la loi ou par leur contrat ?
Lendemains non assurés
Contrairement à l’idée reçue selon laquelle les Français seraient perpétuellement en vacances, seulement 62 % des salariés de l’Hexagone prennent « tous, ou presque tous, leurs jours de congés payés », selon un sondage réalisé par YouGov en 2015.
Sans parler, bien sûr, de ceux qui se mettent en vacances, mais qui ne partent pas, faute de moyens ; cela ¬serait un autre sujet. Il en est ainsi dans la plupart des pays développés, à des degrés divers. Ainsi, les Britanniques et les Allemands apparaissent plus ¬attachés à leurs vacances que les ¬Français. Ils sont respectivement 75 % et 71 % à prendre la totalité ou la ¬ quasi-totalité de ce à quoi ils ont droit, soit entre 27 et 30 jours de congés (25 pour les Français). En revanche, les Australiens ne seraient que 43 % à exploiter au maximum leur capital vacances, contre 44 % d’Américains.
Sans que nous ne disposions de statistiques précises, on peut estimer...
Предмет: Другие предметы, автор: dyha1105kozmenko