Предмет: Алгебра, автор: Аноним

помогите пожалуйста ​

Приложения:

s007stasbro: помогу:)))

Ответы

Автор ответа: s007stasbro
1

Ответ:

( {x}^{n} )^{m}  =  {x}^{m \times n}

 {x}^{m}  \times  {x}^{n}  =  {x}^{m + n}

 {x}^{m}  \div  {x}^{n}  =  {x}^{m - n}

 {y}^{ - x}  =  (\frac{1}{y} )^{x}

Объяснение:

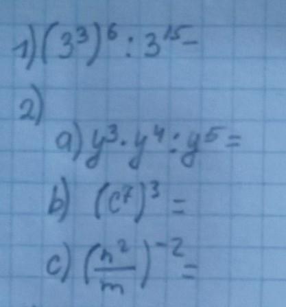
1)

( {3}^{3} )^{6}  \div  {3}^{15}  =  {3}^{18}  \div  {3}^{15}  =  {3}^{3}  = 27

2)

а)

 {y}^{3}  \times  {y}^{4}  \div  {y}^{5}  =  {y}^{3 + 4 - 5}  =  {y}^{2}

б)

( {c}^{7} ) ^{3}  =  {c}^{7 \times 3}  =  {c}^{21}

в)

( \frac{ {n}^{2} }{m} )^{ - 2}  =  (\frac{m}{ {n}^{2} } )^{2}  =  \frac{ {m}^{2} }{ {n}^{2 \times 2} } =  \frac{ {m}^{2} }{ {n}^{4} }


s007stasbro: пожалуйста, а почему оценка 4?
Похожие вопросы
Предмет: Химия, автор: yudochkin2000