Предмет: Физика,
автор: Аноним
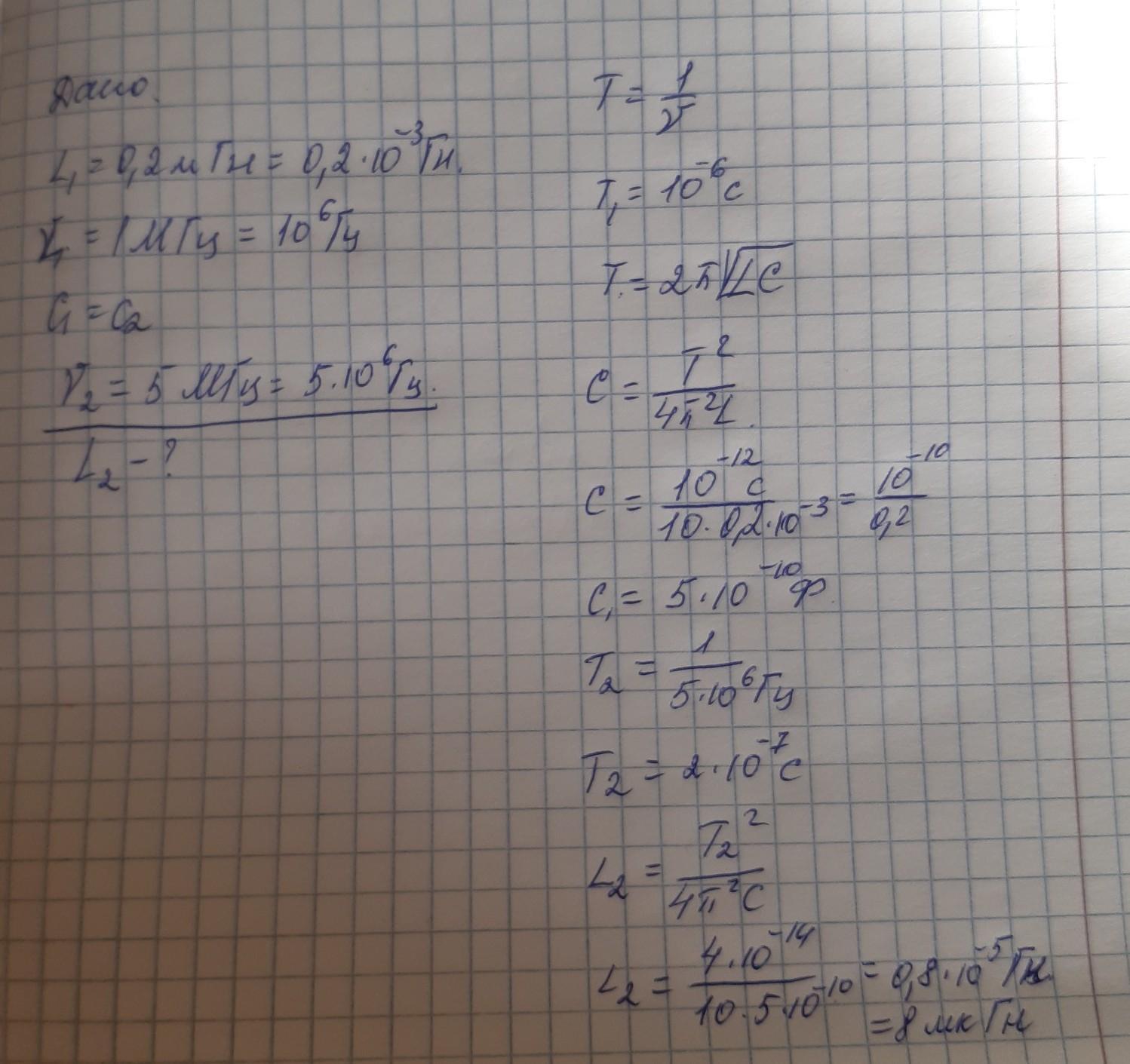
При индуктивности колебательного контура 0.2мГн частота свободных электрических колебаний равна 1Мгц Какой доллжна быть индуктивность контура при неизменной электроемкости чтобы частота колебаний в контуре стало равной 5Мгц
Ответы
Автор ответа:
4
Объяснение:
см фото,,,,,,,,,,,,,,,,,,,,,, ,
Приложения:
Автор ответа:
4
Ответ:
Объяснение:
Частоты:
ν₁ = 1 / (2π·√(L₁·C))
ν₂ = 1 / (2π·√(L₂·C))
По условию:
ν₂ / ν₁ = 5 МГц/ 1 MГц = 5
ν₂ / ν₁ = √ (L₁ / L₂)
L₁ / L₂ = 5²
L₂ = L₁ / 25 = 0,2·10⁻³ / 25 = 8 мкГн
ganna9317:
лимона
по аослдааюосмюпб вс году Олю как
ал за Ош уж со удюсша же е
Похожие вопросы
Предмет: Математика,
автор: найк45
Предмет: Математика,
автор: ангел238
Предмет: Математика,
автор: ВовкаВова
Предмет: Английский язык,
автор: Zorgios
Предмет: Химия,
автор: Aaannn11