Предмет: Алгебра,
автор: k0tzlo
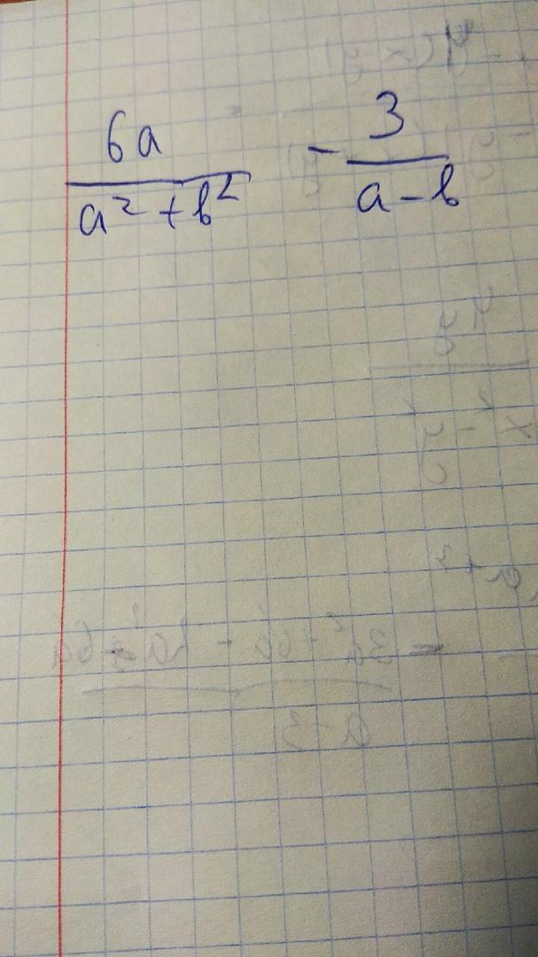
помогите решить, желательно подробно
Приложения:
Zombynella:
В знаменателе первой дроби нет ошибки? Может, не +, а минус?
да, ошибся, минус
Тогда проще)
Только как-то поправьте, иначе, если я решу с минусом, решение удалят, как не соответствующее заданию.
Ответы
Автор ответа:
0
Ответ:
В решении.
Объяснение:
6а/(а² - в²) - 3/(а - в) =
в знаменателе первой дроби разность квадратов, развернуть:
6а/(а - в)(а + в) - 3/(а - в) =
общий знаменатель (а - в)(а + в):
= (6а - 3(а + в))/(а - в)(а + в) =
= (6а - 3а - 3в)/(а - в)(а + в) =
= (3а - 3в)/(а - в)(а + в) =
= 3(а - в)/(а - в)(а + в) =
(а - в) и (а - в) сократить на (а - в):
= 3/(а + в).
Похожие вопросы
Предмет: Математика,
автор: Кекорамблер
Предмет: Геометрия,
автор: depth1
Предмет: Английский язык,
автор: Аноним
Предмет: Математика,
автор: nata27veronika