Предмет: Математика,
автор: 12345687900987654321
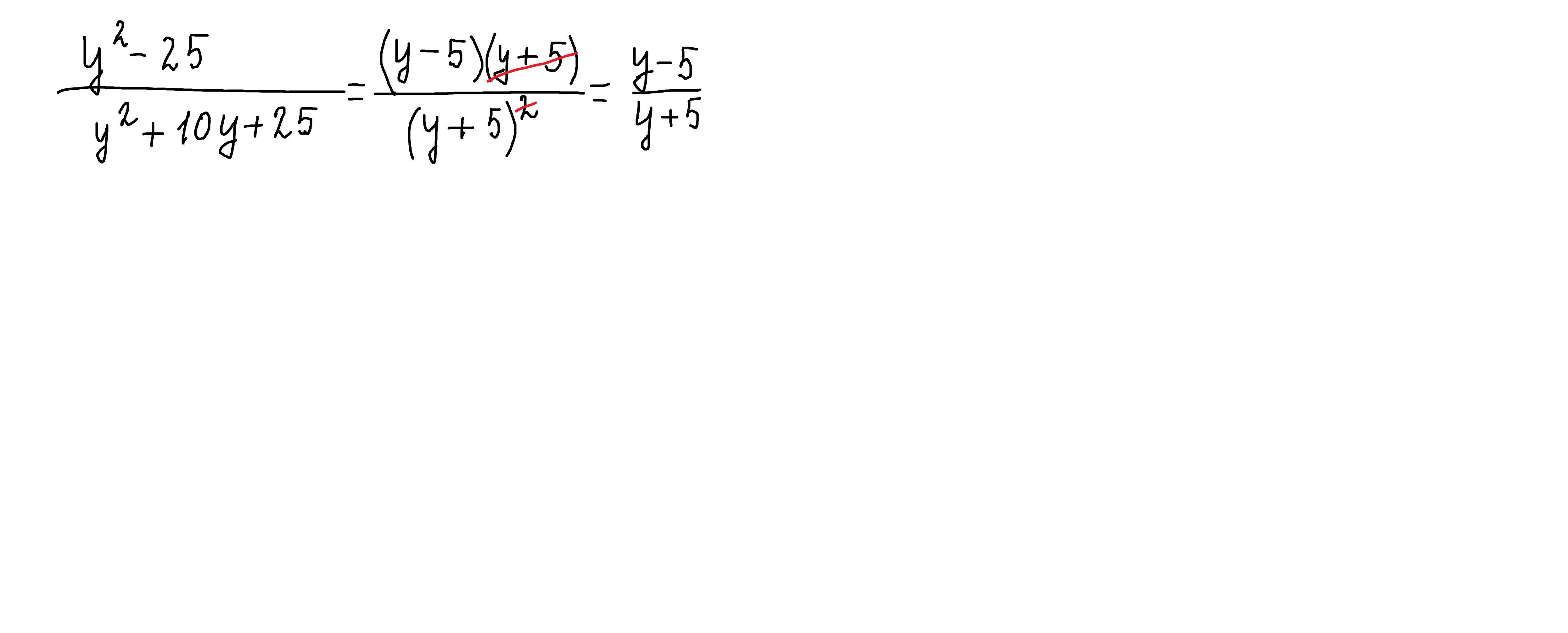
Скоротіть дріб y²-25/y²+10y+25
Допоможіть будь ласка
Ответы
Автор ответа:
1
Ответ:
Смотри решение на фото ниже
Приложения:
Автор ответа:
1
Ответ:
Пошаговое объяснение:
в числителе применяем формулу а²-в²=(а-в)(а+в)
в знаменателе а²+2ав+в²=(а+в)² и сокращаем.
Приложения:
Похожие вопросы
Предмет: Физика,
автор: bereginyaol
Предмет: Английский язык,
автор: Ася1111111111198
Предмет: Литература,
автор: JustaCanon
Предмет: Английский язык,
автор: getgta