Предмет: Алгебра,
автор: yhdxcmvvan
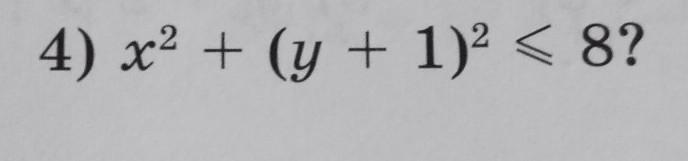
5.5. Какую геометрическую фигуру образует множество точек пло- скости, которое задается неравенством:
Приложения:
Ответы
Автор ответа:
0
Ответ:
Подумала что писать будет долго и сразу сфоткала
Приложения:
Похожие вопросы
Предмет: Математика,
автор: alinabadrislamova
Предмет: Українська мова,
автор: anhelinabetsanych
Предмет: Английский язык,
автор: 21081984
Предмет: Математика,
автор: никитоз5
Предмет: Қазақ тiлi,
автор: Djunisova