Предмет: Алгебра,
автор: zvereva1617
Помогите пж!!!!!!!!!!!!!
Приложения:
Ответы
Автор ответа:
1
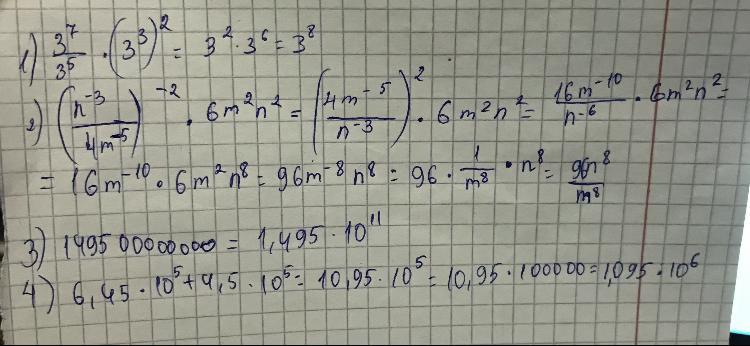
Ответ:
фото
Объяснение:
Приложения:
zvereva1617:
Спасибо добрый ты человек
Или добрая
вот полный ответ
Похожие вопросы
Предмет: Математика,
автор: Progeograph
Предмет: Немецкий язык,
автор: IzabellePlay
Предмет: Русский язык,
автор: Elvr20193
Предмет: Английский язык,
автор: kiptor
Предмет: Литература,
автор: екатерина721