Предмет: Алгебра,
автор: kabilovagulzahra
кто может помочь не срочно дам 20б
Приложения:
Ответы
Автор ответа:
1
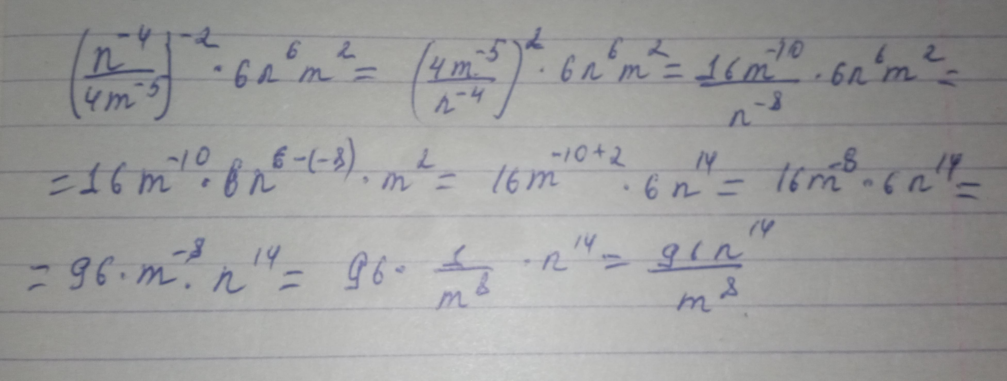
Ответ:
Ответ
Объяснение:
Приложения:
Похожие вопросы
Предмет: Английский язык,
автор: Alex1253school
Предмет: Математика,
автор: DANULËT
Предмет: Математика,
автор: julijachereomu
Предмет: Алгебра,
автор: BalBaNka
Предмет: Українська мова,
автор: Аноним