Предмет: Алгебра, автор: kakapanosova

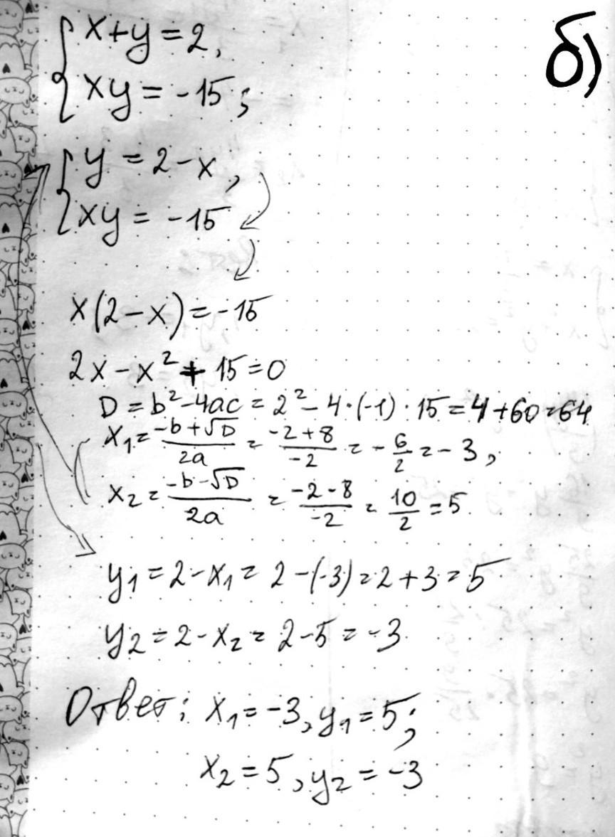
Решите систему уравнений ​

Приложения:

Ответы

Автор ответа: bbbapho
0

Решаю методом подстановки. Подробное решение в приложениях.

Приложения:
Похожие вопросы
Предмет: Обществознание, автор: nreyn1
1.Какие из перечисленных терминов используются в первую очередь при описании социальной сферы общества? 1) этнос, народность 2) республика, монархия 3) исскуство, религия 4) затраты, прибыль


2.Верны ли следующие суждения об обществе?

А. Общество включает в себя все формы коллективов и способы взаимодействия людей.

Б. Общество развивается независимо от природы.

1)верно только А 2)верно только Б 3)верны оба суждения 4)оба суждения неверны


3.Установите соответствие между фактами и сферами общественной жизни: к каждой позиции, данной в первом столбце, подберите соответствующую позицию из второго столбца.

ФАКТЫ

А)проведение митинга в поддержку правительства

Б)открытие театрального фестиваля

В)избрание президента

Г)торги на товарно-сырьевой бирже

Д)принятие закона

СФЕРЫ ОБЩЕСТВЕННОЙ ЖИЗНИ

1)политическая

2)экономическая

3)духовная


4)Учитель рассказывал на уроке о социальных изменениях. Сравните революцию и эволюцию. Выберите и запишите в первую колонку таблицы порядковые номера черт сходства, а во вторую колонку-порядковые номера черт отличия.

1)возможность противоречивых последствий

2)постепенный характер осуществляемых изменений

3)коренная ломка существующего порядка вещей

4)охват различных сфер общественной жизни

Черты сходства | Черты отличия


5.Верны ли следующие суждения о социальных изменениях в современном обществе?

А.Социальные изменения в современном обществе вызваны исключительно развитием науки и техники.

Б.Социальные изменения в современном обществе никак не отражаются на семье семейных устоях.

1)верно только А 2)верно только Б 3)верны оба суждения 4)оба суждения неверны


6.Установите соответствие между примерами и видами глобальных проблем: к каждой позиции, данной в первом столбце, подберите соответствующую позицию из второго столбца.

ПРИМЕРЫ

А)проблема перенаселённости Земли

Б)загрязнение вод Мирового океана

В)уничтожение лесов

Г)снижение разнообразия животных и птиц

Д)высокая детская смертность в развивающихся странах

ВИДЫ ГЛОБАЛЬНЫХ ПРОБЛЕМ

1)экологические проблемы

2)проблемы народонаселения (демографические)


7.-


8.Константин работает врачом.Он честный и порядочный человек. В свободное время он играет в музыкальной группе и занимается в студии бальных танцев. Всё это характеризует Константина как

1)личность 2)гражданина 3)индивида 4)работника


9.Виталий Викторович 15 лет работает учителем. Данный пример иллюстрирует деятельность

1)учебную 2)трудовую 3)политическую 4)научную


10.Игра, в отличие от иных форм деятельности, предполагает

1)преобразование природной среды

2)наличие воображаемой обстановки

3)передачу определённой информации

4)общение с другими людьми


11.Женщина, чтобы порадовать свою семью, на кухне печёт пирожки с капустой. Определите в данном примере:

Субъект деятельности -

объект деятельности -

цель деятельности -

средства деятельности -

результат деятельности -

вид деятельности -


12.Что из приведённого ниже является примером познавательной деятельности?

1)генерал планирует военный парад

2)депутат парламента разрабатывает законопроект

3)глава государства изучает данные о развитии экономики страны

4)известный певец даёт пресс-конференцию


13.Запишите возможные продолжения фраз.

Межличностные отношения важны для человека, так как

1)

2)

3)

Для выстраивания неконфликтных межличностных отношений человеку небходимо

1)

2)

3)


14.Учитель рассказывал на уроке о способах познания мира. Сравните научные и ненаучные способы познания мира. Выберите и запишите в первую колонку таблицы порядковые номера черт сходства, а во вторую колонку - порядковые номера черт отличия.

1)поиск ответов на вопросы об устройстве мира и происхождении человека

2)объективность полученного знания

3)возможность художественного вымысла

4)анализ информации

Черты сходства | Черты отличия


15.-


16.Верны ли суждения о межличностных конфликтах?

А.При разрешении межличностного конфликта важно понять точку зрения другого человека.

Б.Причиной межличностного конфликта может послужить отсутствие культуры общения.

1)верно только А 2)верно только Б 3)верны оба суждения 4)оба суждения неверны


17.К какой сфере общественной жизни относятся выборы в законодательное собрание региона?

1)социальной 2)политической 3)экономической 4)духовной


18.Совокупность социально значимых качеств, черт человека, которые он реализует в общественной жизни, обозначают понятием

1)личность 2)социализация 3)гражданство 4)профессионализм


19.-


20.Верны ли следующие суждения о человеке?

А.Каждый индивид наделён определёнными биологическими чертами.

Б.Врождённые качества человека влияют на темпы и результаты социализации.

1)верно только А 2)верно только Б 3)верны оба суждения 4)оба суждения неверны