Предмет: Алгебра,
автор: daadf88d
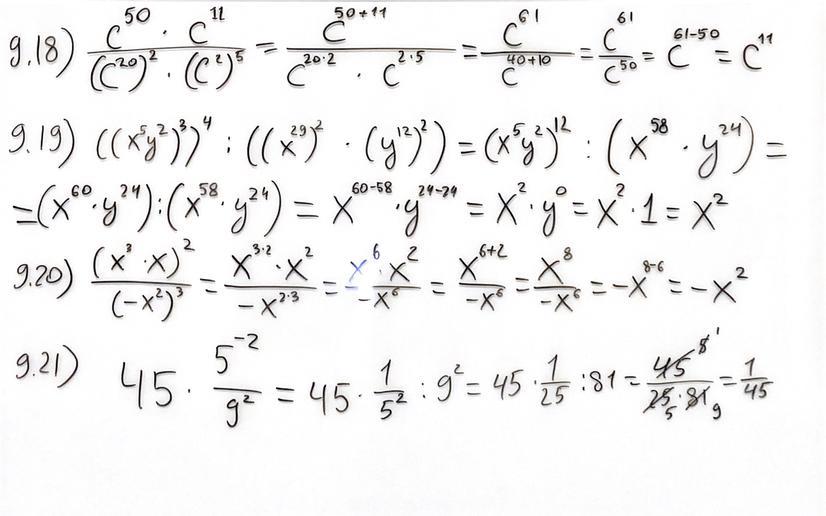
Помогите пожалуйста , только 2 примеры . с 9.18 до 9.21
Приложения:
Ответы
Автор ответа:
1
Решено 9.18 9.19 9.20 9.21
Приложения:
Похожие вопросы
Предмет: Английский язык,
автор: kirillutykas
Предмет: Русский язык,
автор: вованьчик
Предмет: Математика,
автор: Лесюшка11
Предмет: Русский язык,
автор: Juvabo
Предмет: Русский язык,
автор: лера2456