Предмет: Математика,
автор: nastaderesok
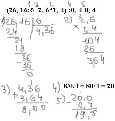
(26, 16:6+2, 6*1, 4) :0, 4-0, 4 столбиком
Ответы
Автор ответа:
1
Ответ:
19,6
Пошаговое объяснение:
см фото
Приложения:
lakOR555:
++
Похожие вопросы
Предмет: Українська література,
автор: yakimenkoyura
Предмет: Английский язык,
автор: tima541
Предмет: Немецкий язык,
автор: МаксПолтавцев
Предмет: Немецкий язык,
автор: artyommalcev9
Предмет: Химия,
автор: Zara696