Предмет: Физика,
автор: ikorneev501
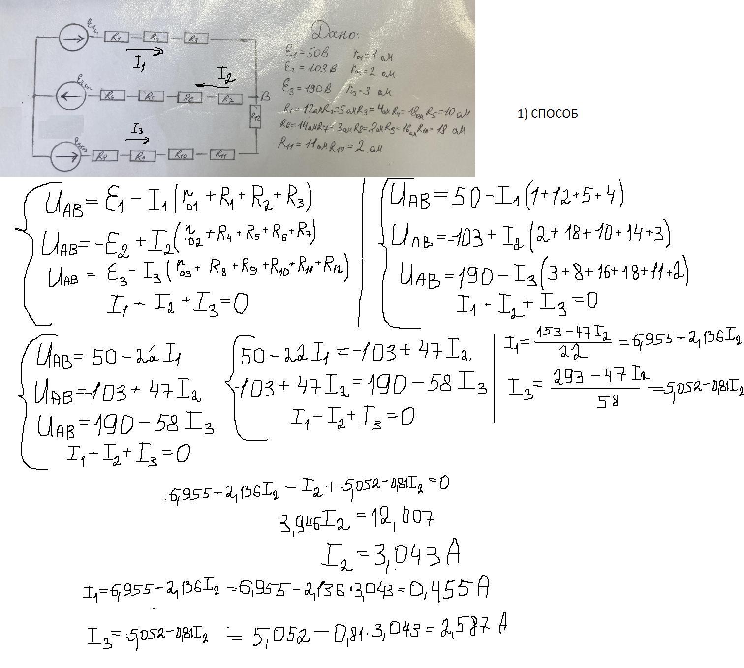
Срочно! Помогите решить электрическую цепь ( найти силы тока )
Приложения:
Ответы
Автор ответа:
0
Ответ:
решение на картинке 2 способа
Объяснение:
Приложения:
Похожие вопросы
Предмет: Русский язык,
автор: pkiska8585
Предмет: Английский язык,
автор: сашамужик
Предмет: Русский язык,
автор: 132tolyk132toly
Предмет: Обществознание,
автор: Evangelinkalove
Предмет: Литература,
автор: VikaMeow1111