Предмет: Алгебра, автор: Vildanaassetova4

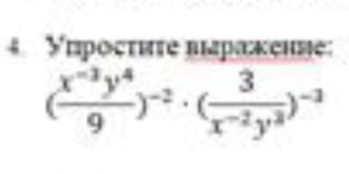
Упростите выражение (x=3 y4/9)-2 • (3/x-2 y2)-3

Приложения:

Ответы

Автор ответа: Avantgardе
1

\bigg(\dfrac{x^{-3}y^4}{9}\bigg)^{-2}\cdot\bigg(\dfrac3{x^{-2}y^2}\bigg)^{-3}=\bigg(\dfrac{9}{x^{-3}y^4}\bigg)^2\cdot\bigg(\dfrac{x^{-2}y^2}{3}\bigg)^3=\dfrac{9^2}{(x^{-3}y^4)^2}\cdot\dfrac{(x^{-2}y^2)^3}{3^3}=\\\\=\dfrac{81}{x^{-6}y^8}\cdot\dfrac{x^{-6}y^6}{27}=\dfrac{81}{y^2\cdot27}=\dfrac3{y^2}


Vildanaassetova4: Спасибо !
Похожие вопросы