Предмет: Алгебра,
автор: arkadey234
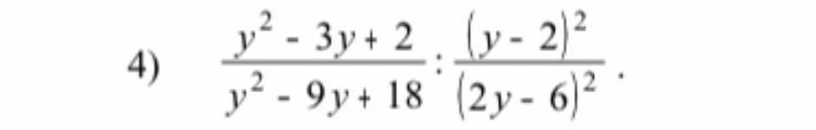
Выполните действия:
Кто поможет - топ.
Приложения:
Ответы
Автор ответа:
1
Раскладываешь уравнения на скобки в первой дроби, деление меняешь на умножение, и сокращаешь остальное
Приложения:
arkadey234:
Спасибо!)
Пожалуйста)
Но немного не понял: что такое D и откуда оно берётся?
Это называется дискрименант. С помощью него решаются квадратные уравнения. Если уравнение имеет вид ax²+bx+c=0, то D=b²-4ac. По дискрименанту мы можем судить о количестве действительных корней уравнения - если D больше нуля, то корня два, если D=0, то корень один, а если D меньше нуля, то корней нет. Сами корни ищутся по формуле x=(-b± корень D)/2a
Похожие вопросы
Предмет: Русский язык,
автор: лера673
Предмет: Русский язык,
автор: виталий30
Предмет: Английский язык,
автор: ВиолеттаЮрьева
Предмет: Английский язык,
автор: Аноним
Предмет: Русский язык,
автор: nikto66