Предмет: Алгебра,
автор: Nurgazy06
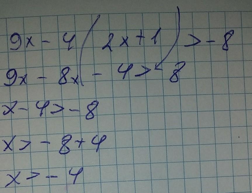
9x-4(2х+1)> -8 помогите
Ответы
Автор ответа:
0
Ответ:
,..........................................
Приложения:
Автор ответа:
0
Ответ:
(-4;∞)
Объяснение:
9x-8x-4>-8
x>-8+4
x>-4
Похожие вопросы
Предмет: Французский язык,
автор: chop33333
Предмет: Русский язык,
автор: данёк2006
Предмет: Українська мова,
автор: elinakarat1
Предмет: Математика,
автор: Irinaguzanova
Предмет: Русский язык,
автор: maximstrekalovs