Предмет: Алгебра,
автор: Shirnick
100 баллов
Задание 4.
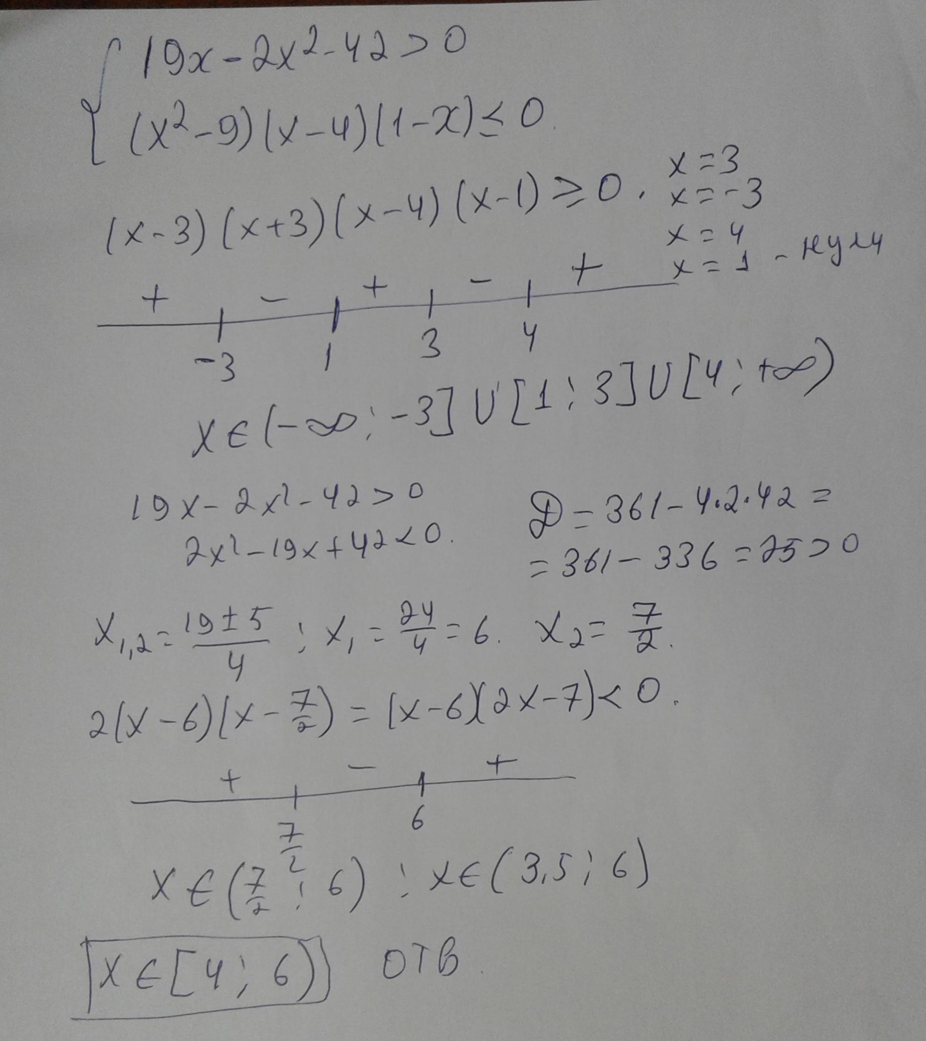
Решите систему неравенств:
Ответы
Автор ответа:
14
Ответ:
x∈[4;6)
Объяснение:
Приложения:
Похожие вопросы
Предмет: Русский язык,
автор: Rakhiev
Предмет: Русский язык,
автор: Аноним
Предмет: Русский язык,
автор: sasha8090903
Предмет: История,
автор: olesia88fgj
Предмет: История,
автор: AlinaRusakova11