Предмет: Математика, автор: polinamation

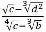
Сократите дробь:
Срочно

Приложения:

Ответы

Автор ответа: Аноним
1

Ответ:

\frac{(\sqrt[4]{c}-\sqrt[3]{b}) (\sqrt[4]{c}+\sqrt[3]{b}) }{\sqrt[4]{c}-\sqrt[3]{b}  }=\sqrt[4]{c}+\sqrt[3]{b}

Пошаговое объяснение:


polinamation: спасибо
polinamation: а где вы берете ответы?))
Аноним: решаю)) я ж тебе расписал решение
Похожие вопросы
Предмет: Английский язык, автор: Телфон
Предмет: Математика, автор: valentinaklykov