Предмет: Алгебра, автор: sfihsfhisfhih

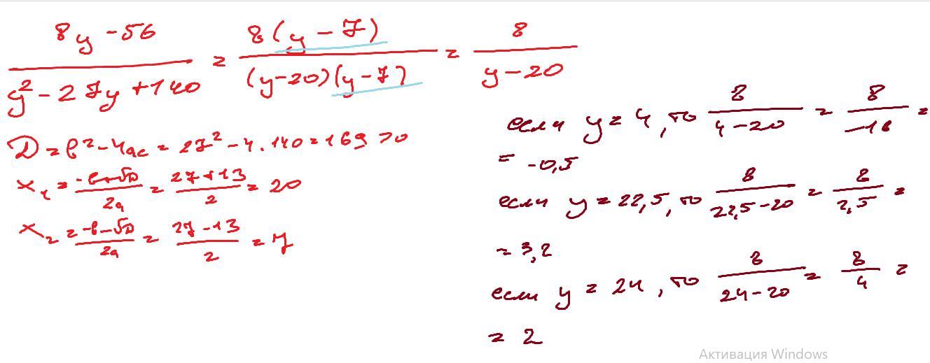
Помогите решить: 8y-56/y2-27y+140 при -4;22,5;24


skala: -4, 22 и т.д. это значения у?
sfihsfhisfhih: Да
sfihsfhisfhih: 22,5

Ответы

Автор ответа: skala
1

Ответ:

Фото

Объяснение:

Если помог, пометьте мой ответ как лучший, пожалуйста :3

Приложения:

sfihsfhisfhih: Ты лучший, спасибо тебе <3
skala: Можете отметить мой ответ как лучший? :3
sfihsfhisfhih: Да могу, только скажи что у тебя написано после Д=
sfihsfhisfhih: Что то в квадрате
sfihsfhisfhih: 8?
skala: формула D = b² - 4ac
skala: а после = 27² - 4 • 140
skala: D = b² - 4ac = 27² - 4 • 140 = 169 > 0
skala: вся строчка
Похожие вопросы
Предмет: Математика, автор: таичка2