Предмет: Алгебра,
автор: dilnazbolatova32
помогите пожалуйста срочно очень
Приложения:
Ответы
Автор ответа:
1
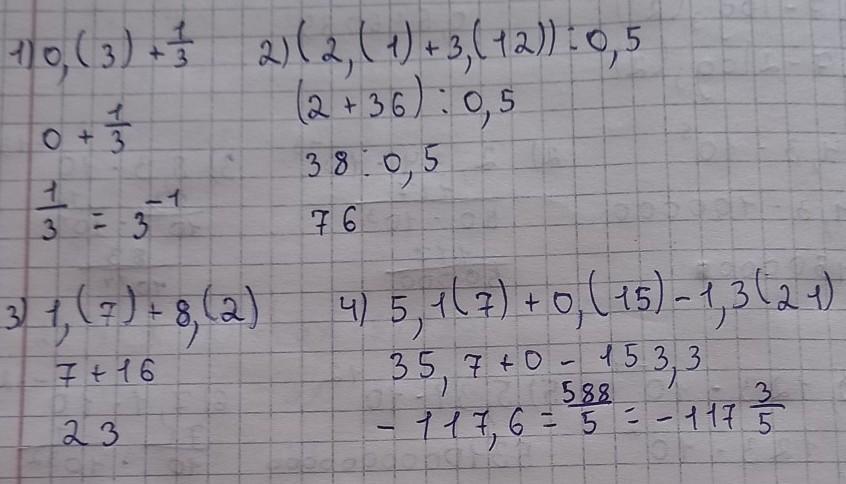
Ответ:
......................удачи..................
Приложения:
Похожие вопросы
Предмет: Английский язык,
автор: bodnarhuk83
Предмет: Русский язык,
автор: тимурчик2015
Предмет: Окружающий мир,
автор: TanyaAvdeeva1
Предмет: Информатика,
автор: darkwood77
Предмет: Русский язык,
автор: нят410