Предмет: Математика,
автор: ekaterina2797
Упражнения для повторения
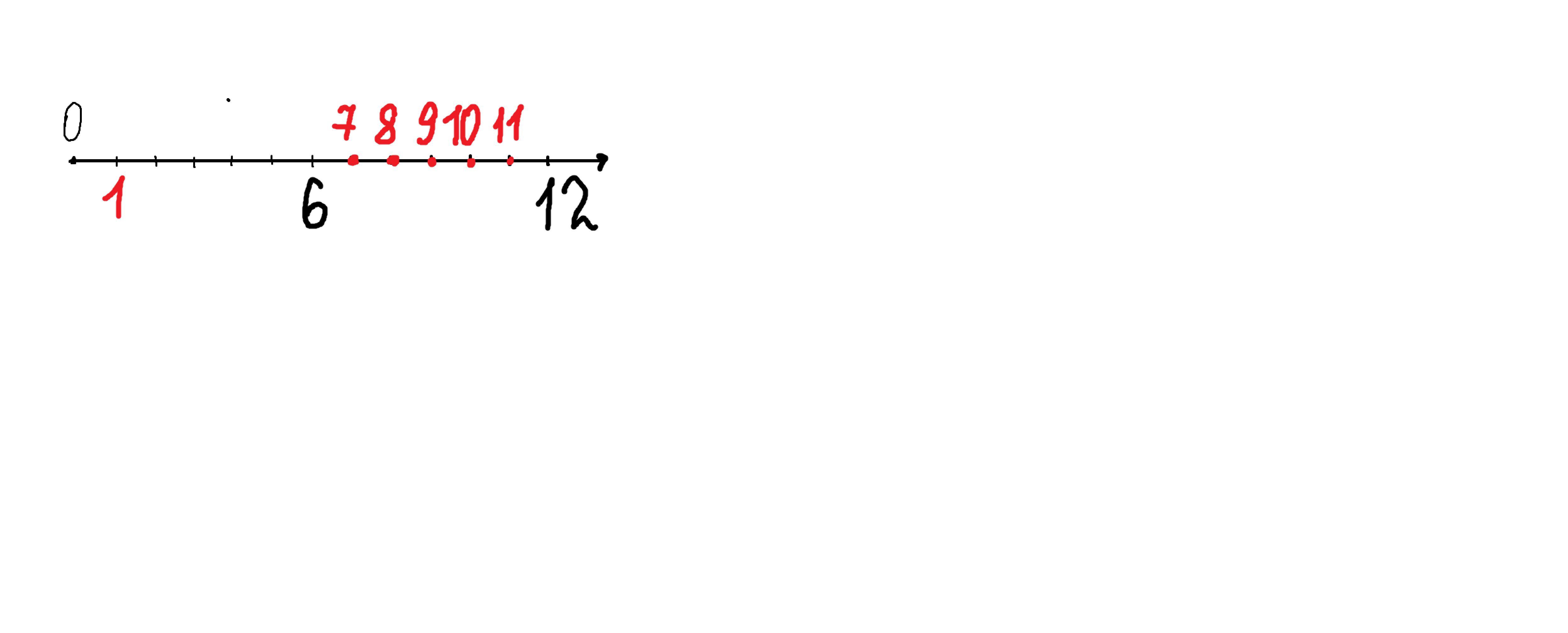
Отметьте на координатном луче натуральные числа, которые боль-
ше 6, но меньше 12.
Ответы
Автор ответа:
3
Ответ:
Пошаговое объяснение:
рисунок внизу
Приложения:
Похожие вопросы
Предмет: Русский язык,
автор: nataelena82
Предмет: Русский язык,
автор: АлинаИнштейн
Предмет: Русский язык,
автор: Lana549597
Предмет: Українська література,
автор: Ерика18