Предмет: Алгебра,
автор: Аноним
помогите срочно ребят очень нужно
Приложения:
Ответы
Автор ответа:
1
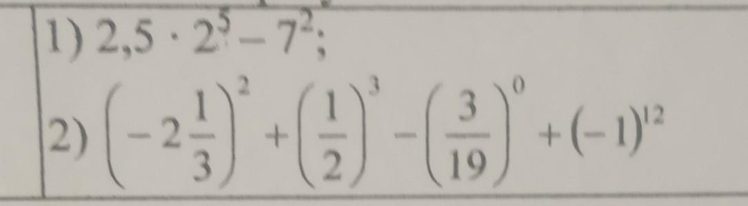
Ответ:
в фото
Объяснение:
в фото
я незнаю что написать:"> потому что пишут надо 20 символов ответ ЕСЛИ ЧТО НА ФОТО
Приложения:
Похожие вопросы
Предмет: Русский язык,
автор: Даша76556
Предмет: Русский язык,
автор: нур20
Предмет: Қазақ тiлi,
автор: ержаннуржанмолдир
Предмет: Математика,
автор: seniortchirkov