Предмет: Алгебра,
автор: salvarsajdinov98
дам 30 балов помогите
Приложения:
Ответы
Автор ответа:
1
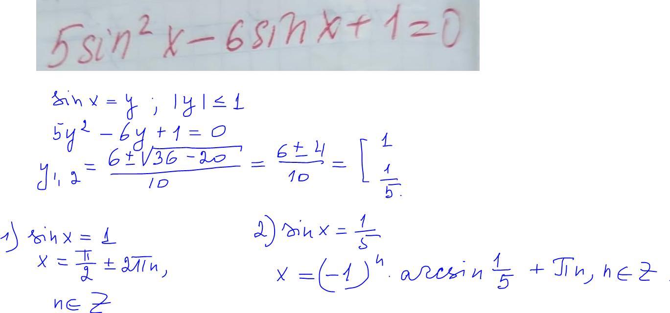
Ответ:
на картинке
Объяснение:
на картинке
Приложения:
Похожие вопросы
Предмет: Русский язык,
автор: таня603
Предмет: Русский язык,
автор: Аноним
Предмет: Русский язык,
автор: х023
Предмет: Русский язык,
автор: Аноним