Предмет: Алгебра,
автор: calinichevv
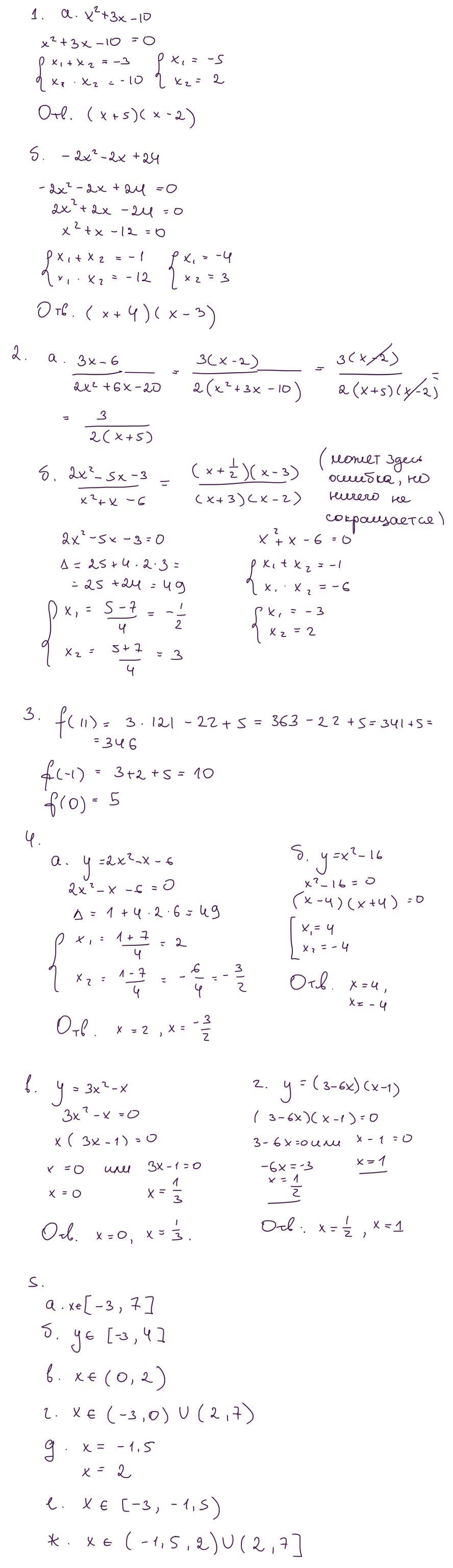
срочно, задание на карточке по алгебре
Приложения:
Ответы
Автор ответа:
0
Ответ:
Всё расписано на фото
Приложения:
Похожие вопросы
Предмет: Английский язык,
автор: amina22881
Предмет: Қазақ тiлi,
автор: тоша18
Предмет: Русский язык,
автор: даяч
Предмет: Окружающий мир,
автор: гдшер2492
Предмет: Информатика,
автор: shlapakoleg4