Предмет: Математика,
автор: Викарий
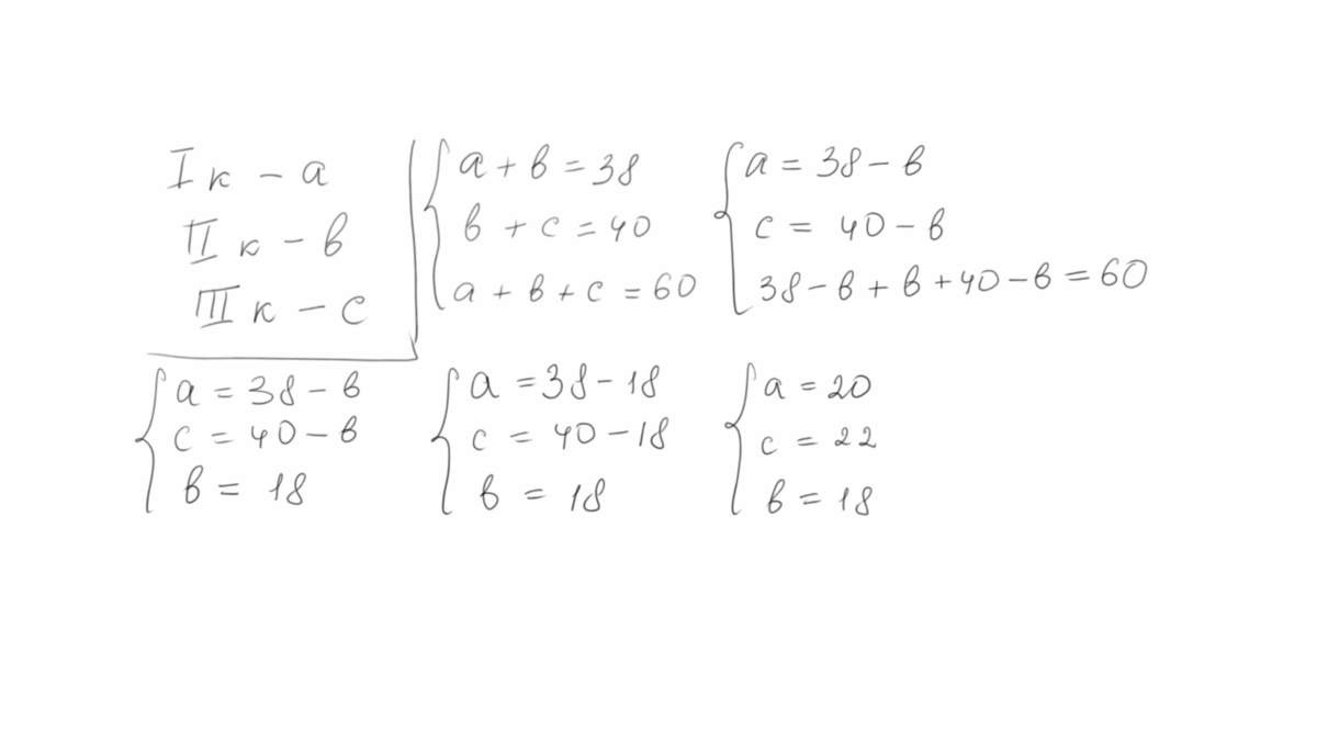
в трех корзинах 60 яблок.в первой
и второй 38,а во второй и третьей 40.сколько в каждой?
Ответы
Автор ответа:
0
в трех корзинах 60 яблок.в первой
и второй 38,а во второй и третьей 40.сколько в каждой?
Решение на картинке:
и второй 38,а во второй и третьей 40.сколько в каждой?
Решение на картинке:
Приложения:
Похожие вопросы
Предмет: Литература,
автор: valbe97
Предмет: Английский язык,
автор: Аноним
Предмет: Математика,
автор: Аноним
Предмет: Алгебра,
автор: ALMAX