Предмет: Математика, автор: dominikanikasokol

найди корень уровнения ​

Приложения:

Ответы

Автор ответа: alina3763841310
1

Ответ:

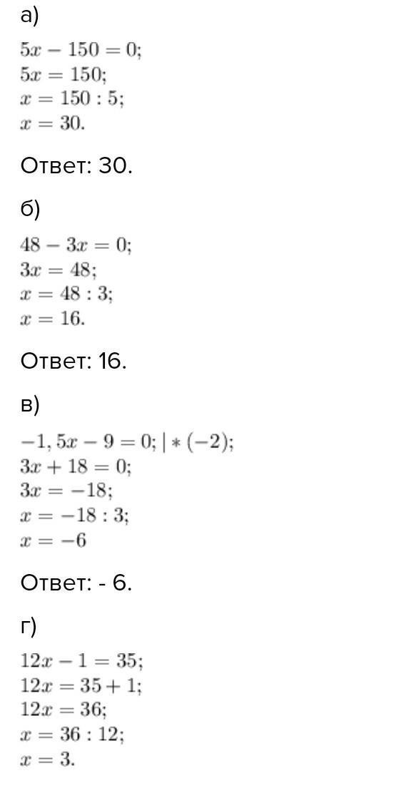
это решение сразу нескольких.

Приложения:

dominikanikasokol: ты самый полезный
dominikanikasokol: можешь ещё на один ответить?
alina3763841310: довай
dominikanikasokol: выложила
alina3763841310: всё, я решила
dominikanikasokol: спасибоо
alina3763841310: обращайся
Похожие вопросы
Предмет: Русский язык, автор: аннаком
Предмет: Окружающий мир, автор: оксанахаритонова