Предмет: Алгебра,
автор: antonioo2939
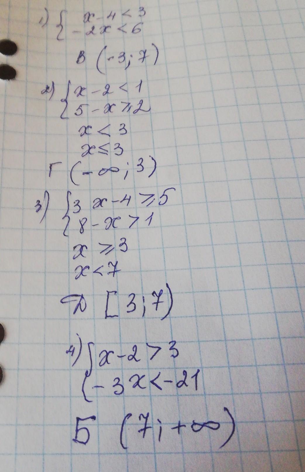
Помогите решить пожалуйста!! Срочно!
Приложения:
Ответы
Автор ответа:
0
Ответ:
Смотри решение на фото выше
Приложения:
Похожие вопросы
Предмет: Українська мова,
автор: sertivanin
Предмет: Русский язык,
автор: Аноним
Предмет: Українська мова,
автор: katja20161
Предмет: География,
автор: Н3к
Предмет: Математика,
автор: Aigerim1111111111