Предмет: Математика,
автор: alpysbajaruzan99
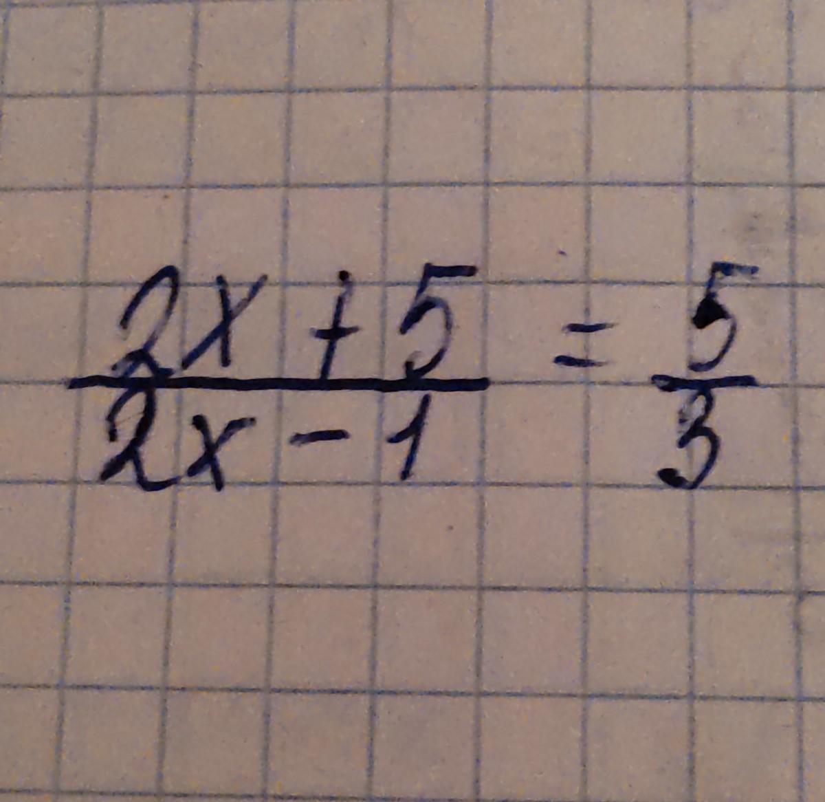
2x+5 2x-1
помогите пж
Приложения:
Ответы
Автор ответа:
1
Ответ:2х+5=7х
2х-1=1х
7/1
Пошаговое объяснение:
Похожие вопросы
Предмет: Русский язык,
автор: lapullyanna
Предмет: Русский язык,
автор: Аноним
Предмет: Русский язык,
автор: qwerty1104
Предмет: Русский язык,
автор: KarlDonits
Предмет: Русский язык,
автор: Lionasik175