Предмет: Алгебра,
автор: alina0858
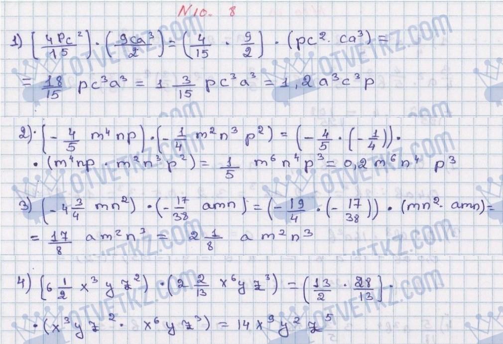
( - 4/5 m⁴np) ( -1/4m²n³p²)
Помогите плизз
Приложения:
Ответы
Автор ответа:
2
обьяснение: надеюсь помогла)
Приложения:
doravass01:
это правильно?
Похожие вопросы
Предмет: Русский язык,
автор: slavamenshikov1
Предмет: Русский язык,
автор: МАРИНАПРОСТОМАРИНА
Предмет: Технология,
автор: мися4
Предмет: Математика,
автор: kirillovi830
Предмет: Алгебра,
автор: Turpal095