Предмет: Математика,
автор: maloletniuy
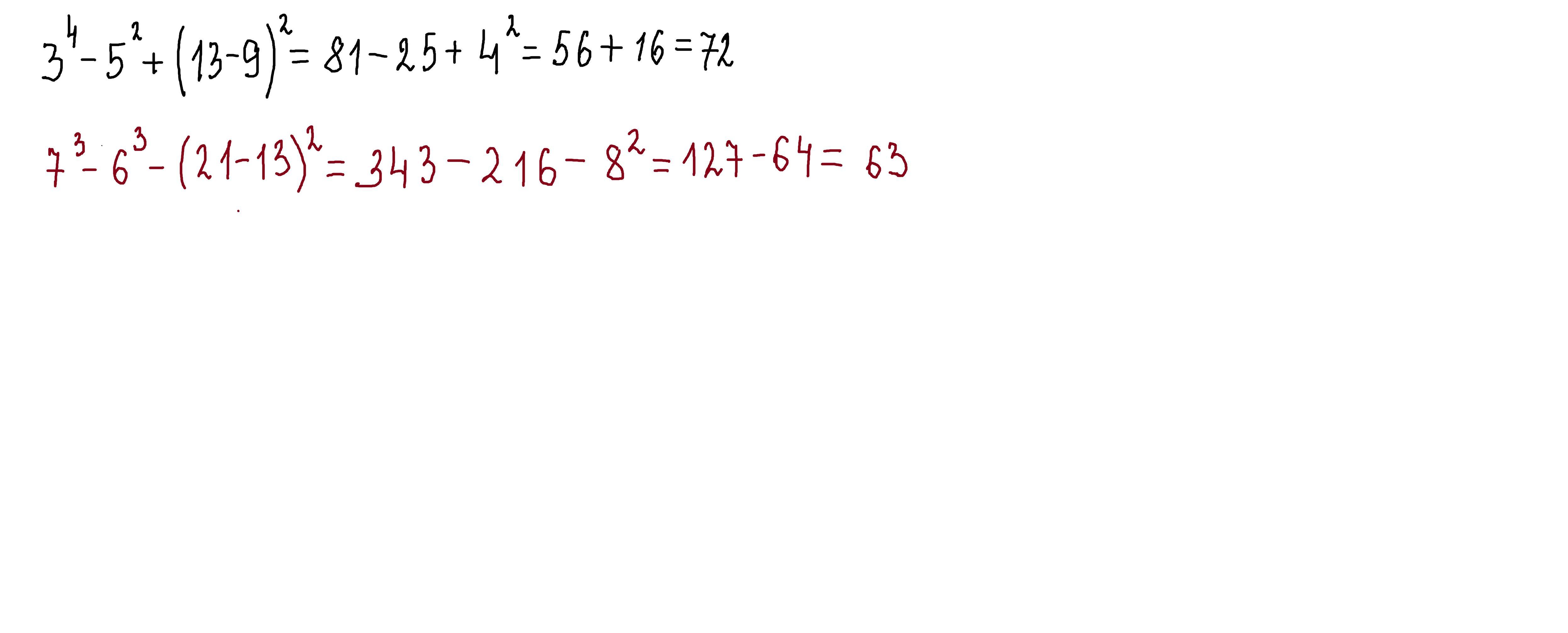
Вычислите: a) 3.4– 5.2 + (13 - 9).2 б) 7.3 - 6.3 - (21 - 13) .2
помогите пожалуйста,буду очень благодарна! числа каторые отделены точкой это степень.
parus77:
в след. раз степень записывай так 2^3(^-значок степени)
Ответы
Автор ответа:
1
Ответ:
выписываю ответы: а=72, б=63
Пошаговое объяснение:
это в виду 7 во 2 степени или просто 72?
Автор ответа:
1
Ответ:
Пошаговое объяснение:
решение внизу
Приложения:
Похожие вопросы
Предмет: Русский язык,
автор: 5491313
Предмет: Русский язык,
автор: Мирзабек
Предмет: Қазақ тiлi,
автор: mnau
Предмет: Русский язык,
автор: ari003
Предмет: Химия,
автор: artdemakov