Предмет: Алгебра,
автор: Аноним
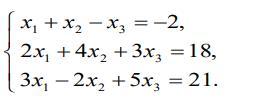
Решить систему линейных уравнений матричным методом (используя обратную матрицу)
Приложения:
Ответы
Автор ответа:
2
Ответ .......................................................................................
Приложения:
Аноним:
это обратная матрица?
Похожие вопросы
Предмет: Русский язык,
автор: ира0вопросик
Предмет: Английский язык,
автор: Даша200478987
Предмет: Русский язык,
автор: Аноним
Предмет: Обществознание,
автор: lenokll616
Предмет: Литература,
автор: мармеладка07