Предмет: Алгебра,
автор: zorosenkopetr
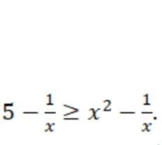
Решите неравенство и укажите сколько целых решений неравенства.
Приложения:
Ответы
Автор ответа:
0
Ответ: Два целых решения
Объяснение:
5-1/х≥х²-1/х ;х≠0
х²≤5
х≤ ±√5
х∈[ -2;0)∪(0;2] одно решение
х∈ [ -1;0)∪(0; 1] второе решение
tamarabernukho:
Нуль надо исключить из решения
верно
Ну и количество укажите..целых решений
Четыре целых решения :-2;-1;1;2
целых решений 2 или 4?
четыре
Похожие вопросы
Предмет: Русский язык,
автор: помогитенш
Предмет: Русский язык,
автор: влад0401
Предмет: Русский язык,
автор: tatyana8608
Предмет: Геометрия,
автор: stalker04ri
Предмет: Алгебра,
автор: Дмитрий195628