Предмет: Математика, автор: Abp5

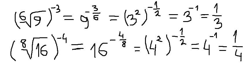
(⁶√9)-³;( ⁸√16)-⁴
Помогите пожалуйста

Ответы

Автор ответа: MathDaddy
0

 {( \sqrt[6]{9} )}^{ - 3}  =  {9}^{ -  \frac{3}{6} }  =  {9}^{ -  \frac{1}{2} } =  \frac{1}{ {9}^{ \frac{1}{2} } }   =  \frac{1}{ \sqrt{9} }  =  \frac{1}{3}

Ответ: ⅓.

 {( \sqrt[8]{16} )}^{ - 4}  =  {16}^{ -  \frac{4}{8} }  =  {16}^{ -  \frac{1}{2} } =  \frac{1}{ {16}^{ \frac{1}{2} } }   =  \frac{1}{ \sqrt{16} }  =  \frac{1}{4}

Ответ: ¼.

Автор ответа: amanda2sempl
0

Ответ:

см скриншот

Пошаговое объяснение:

Приложения:
Похожие вопросы
Предмет: Другие предметы, автор: luda51