Предмет: Алгебра, автор: kirillcherednik07

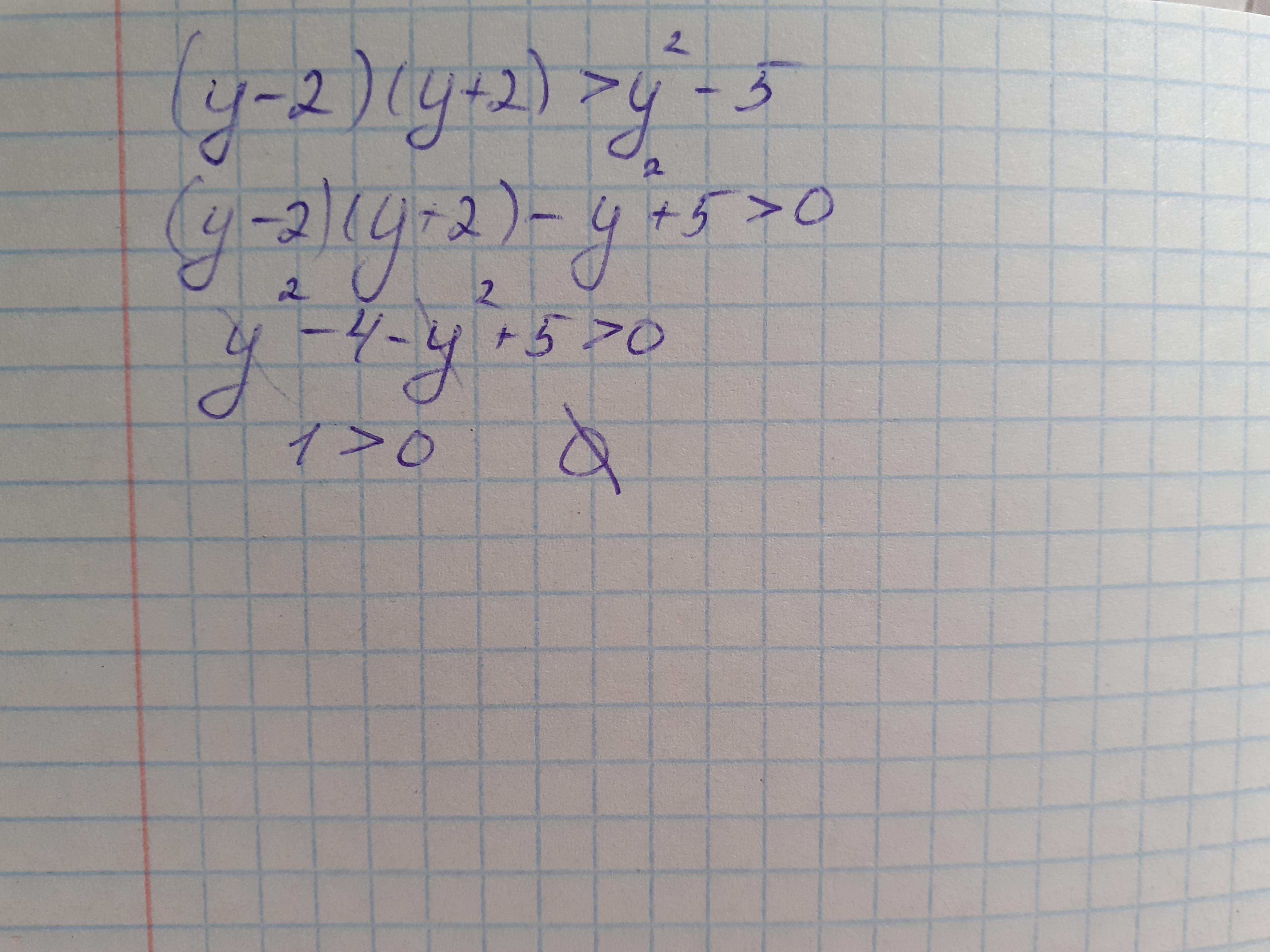
(у-2)(у+2)>у²-5
помогите пожалуйста разобраться​

Ответы

Автор ответа: Desnight
2

Ответ:

Смотри фото

Объяснение:

Приложения:
Похожие вопросы
Предмет: Окружающий мир, автор: Аноним
1.Самые простые по строению растения:

а) трава,

б) кустарники,

в) водоросли.

2.Кустарники – это..

а) многолетние растения с одним стволом,

б) многолетнее деревянистое растение,

в) растение с мягким и сочным стеблем.

3. Дерево - живой организм, потому что…

а) сбрасывает листву, дышит,

б) питается, выдыхает кислород,

в) растёт, развивается, умирает.

4.Короткие корни и широкие листья у...

а) холодостойких растений,

б) светолюбивых растений,

в) влаголюбивых растений.

5. Засухоустойчивые растения имеют признаки:

а) короткие корни, толстые листья,

б) разветвлённые корни, узкие листья,

в) длинные корни, узкие листья,

6. Верблюжья колючка, молочай - это ... растения.

а) морозоустойчивые растения,

б) теплолюбивые,

в) теневыносливые.

7. Морозоустойчивые растения – это…

а) пшеница, овес, ячмень,

б) помидоры, перец, баклажаны,

в) арбузы, дыни, хлопок.

8. Какие растения откосятся к светолюбивым?

а) хлопок, кукуруза, арбузы,

б) ландыш, кислица, вороний глаз,

в) водяная лилия, верблюжья колючка.

9.Растения, которые погибают под прямыми солнечными лучами-это..

а) теневыносливые,

б) светолюбивые,

в) влаголюбивые.

10. Растения, которые не способны существовать без участия человека, называют…

а) однолетними,

б) многолетние,

в) культурными.

11*. Крона дерева – это..

а) ствол и корень,

б) ветви и листья,

в) листья и плод.

12*.Какую часть растения люди употребляют в пищу у укропа, петрушки и капусты?

а) лист,

б) цветок,

в) корень.

13* Часть растений, находящихся в плодах:

а) корень,

б) семена,

в) лист.

14*Сколь ко выделяют ярусов растительности?

а) 3

б) 4

в) 2
Предмет: Английский язык, автор: ReeKay