Предмет: Алгебра,
автор: nono1056
помогите очень нужна помощь
Приложения:
Ответы
Автор ответа:
1
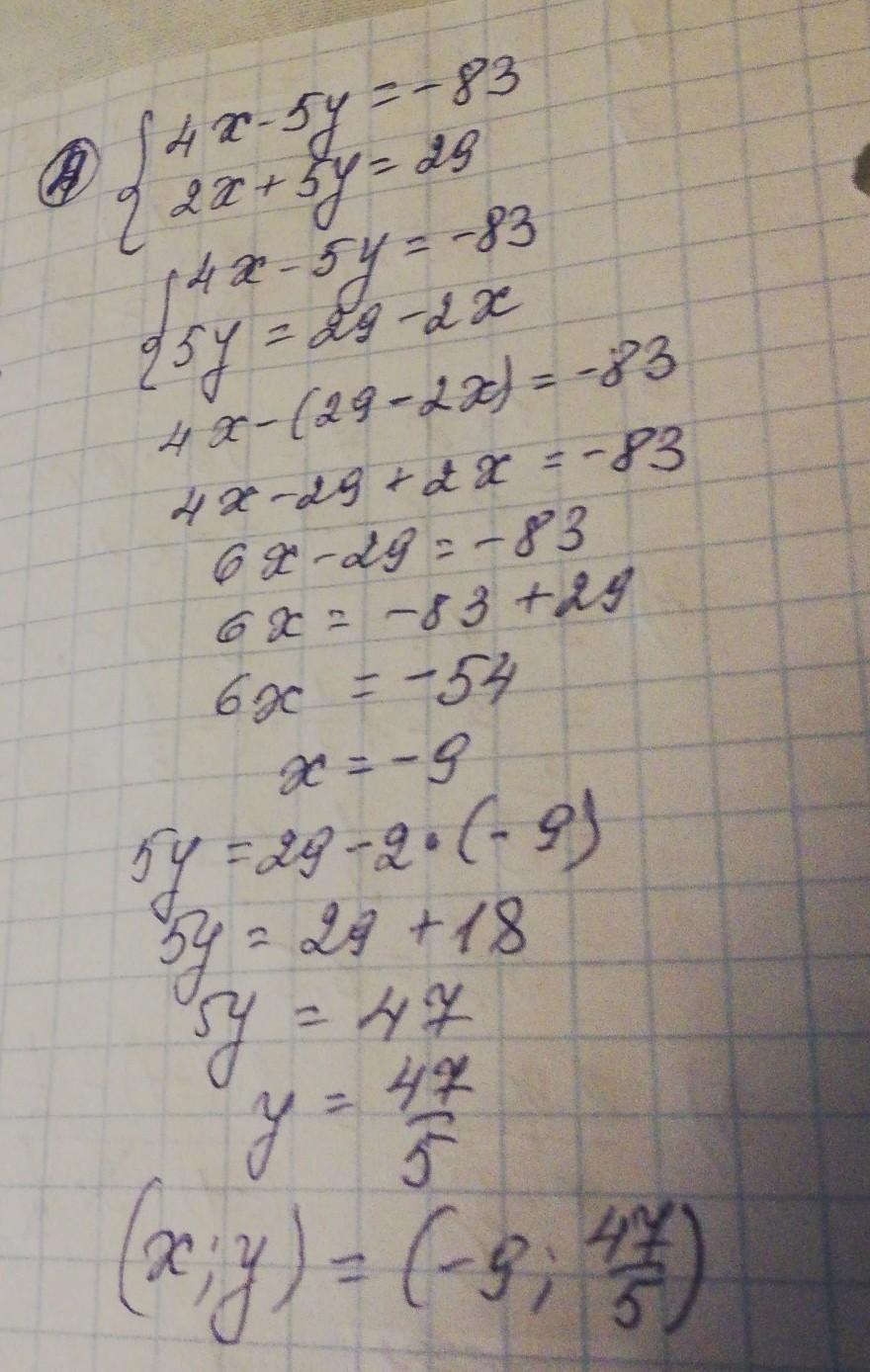
Объяснение:
по братски сделай лучшим
Приложения:
Автор ответа:
0
Ответ:
Смотри решение на фото выше
Приложения:
Похожие вопросы
Предмет: Окружающий мир,
автор: Булик11
Предмет: Русский язык,
автор: eva080876
Предмет: Английский язык,
автор: tanr22
Предмет: История,
автор: LeraAnfisa
Предмет: История,
автор: LeraAnfisa