Предмет: Алгебра,
автор: kaapkalievaaruzan
помагите пожалуйста
Приложения:
Ответы
Автор ответа:
0
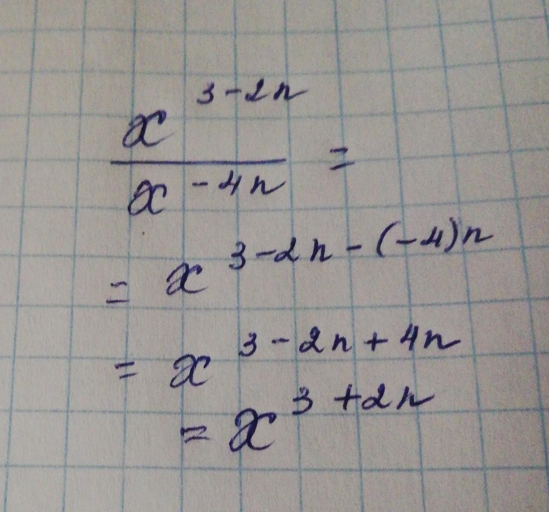
Ответ:
Смотри решение на фото выше
Приложения:
Автор ответа:
0
Ответ: x³⁺²ⁿ.
Объяснение:
(x³⁻²ⁿ)/x⁻⁴ⁿ= x ³⁻²ⁿ⁺⁴ⁿ = x³⁺²ⁿ.
См. скриншот
Приложения:
Похожие вопросы
Предмет: Английский язык,
автор: милашка266
Предмет: Русский язык,
автор: kapitoskha
Предмет: Английский язык,
автор: glushenko39
Предмет: Английский язык,
автор: Aдeлинa11071