Предмет: Алгебра,
автор: darrinw
пожалуйста!!!! срочно, помогите
Приложения:
iramazurk:
Так а что нужно? Там всё сделано
Ответы
Автор ответа:
0
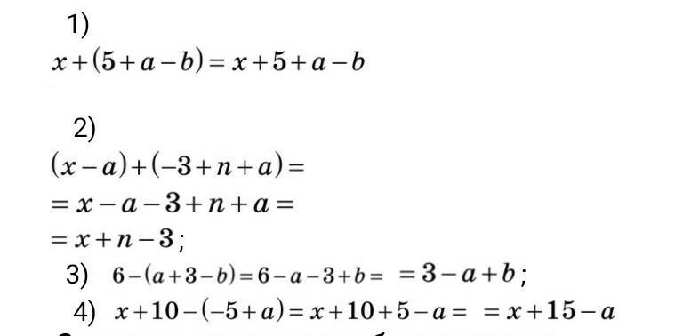
Ответ:
1) 1
2)х+п-3
Объяснение:
Похожие вопросы
Предмет: Английский язык,
автор: илья55551
Предмет: Русский язык,
автор: denchik5666657
Предмет: Русский язык,
автор: tarakan30rus
Предмет: История,
автор: danikmanik228
Предмет: Алгебра,
автор: m1ninaal