Предмет: Алгебра,
автор: Vlad1321233
Помогите пж дам 25баллов
Приложения:
Ответы
Автор ответа:
1
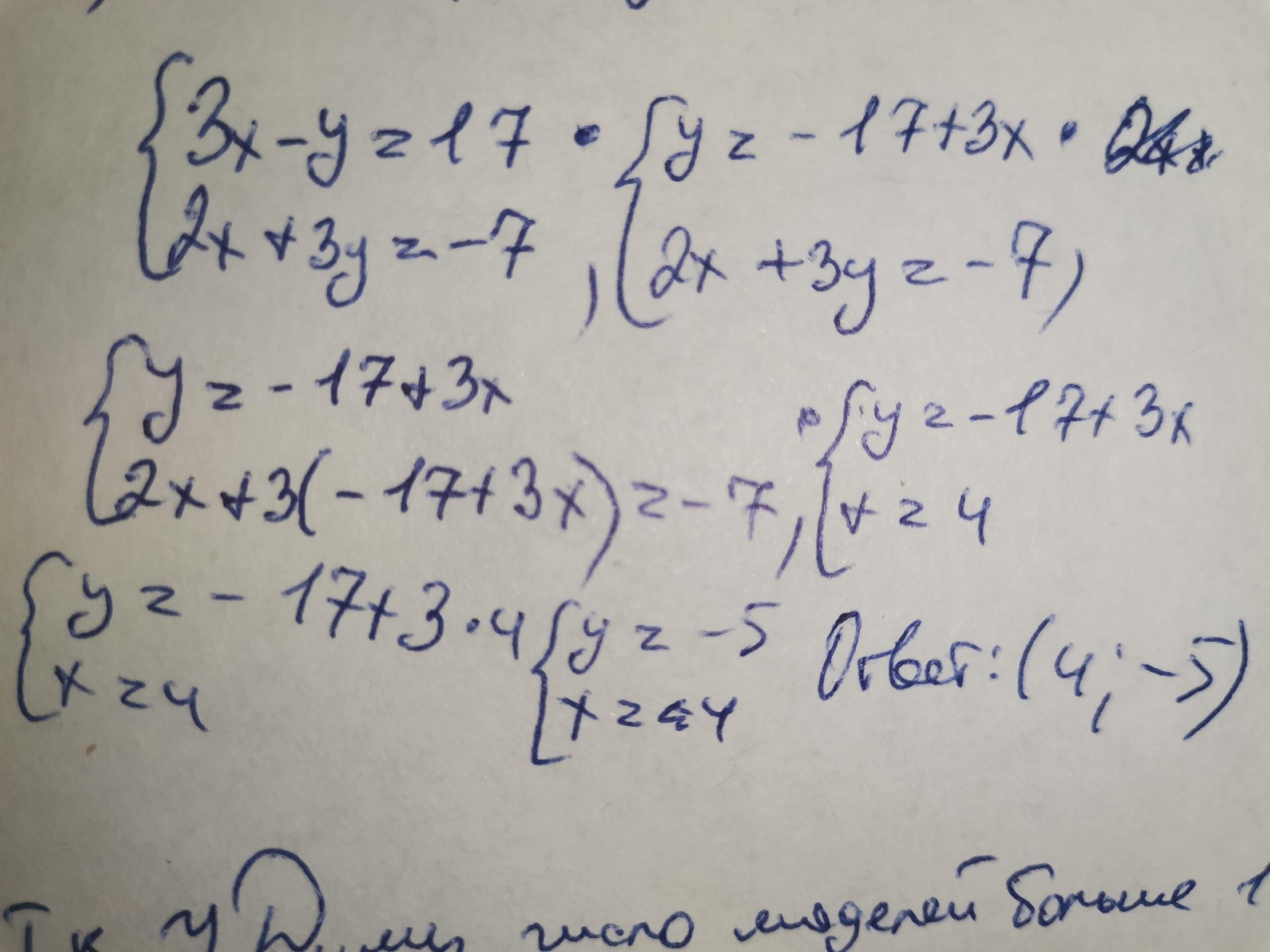
Ответ:
y=-17+3x
2x+3y=-7
2x+3(-17+3x)=-7
x=4
y=-5
Объяснение:
Автор ответа:
1
Ответ:
Смотрите фото.
Приложения:
Похожие вопросы
Предмет: Русский язык,
автор: Doc201332
Предмет: Русский язык,
автор: валерсон
Предмет: Немецкий язык,
автор: лууууул
Предмет: Физика,
автор: Аноним